Header billede

TILVÆKST Grovfoder nr. 18, 1. juli 2025

Udgivet d. 01-07-2025

Mark


Aktuelt i majs

Af planterådgiver Peter Siebert

Majsen trives i det varme vejr, og vi er så langt henne på sæsonen, at det er tid til at gøre et foreløbigt status.

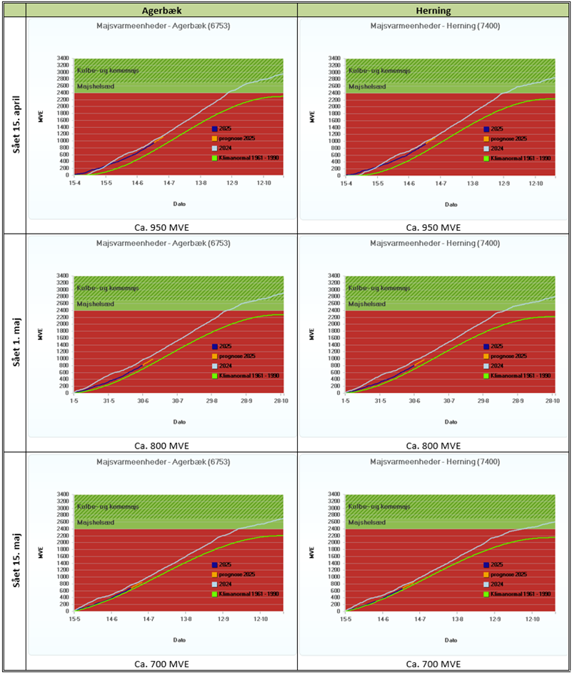
Status på majsvarmeenheder

I nedenstående figur kan du se antallet af årets majsvarmeenheder (MVE) for to lokationer og med såning hhv. den 15. april, den 1. maj og den 15. maj. Som det ses i figuren nedenfor, er summen af akkumulerede MVE foran den gamle klimanormal, hvilket gennem de sidste mange år mere har været reglen end undtagelsen. Som det ses i nedenstående figur, er majs sået den 15. april ca. 150 MVE foran majs sået den 1. maj og ca. 250 MVE foran majs sået en måned senere, den 15. maj.

Antallet af majsvarmeenheder fortæller ikke hele historien omkring forholdene for majsen, hvor daglængde og solindstråling også er vigtige parametre for planternes udvikling. Det er derfor svært at sætte formel på, hvad ovenstående forskelle kan betyde i sidste ende. Men den afgørende faktor er, at majsen uanset såtidspunkt skal kunne nå at gøre sig færdig inden medio oktober, hvor antallet af majsvarmeenheder - og dermed tilvæksten per dag - bliver meget begrænset. Hvis dit sortsvalg er lidt for sildigt, er udfordringen, at det ikke kun flytter høsttidspunktet for majshelsæden, men at det også risikerer at koste udbytte, hvis majsen ikke får fyldt kolberne tilstrækkeligt. Husk på, at kolben som udgangspunkt udgør ca. 70 procent af udbytte i majshelsæd.

  Figur 1 Majsvarmeenheder (MVE) for majs i Agerbæk og Herning, sået 15. april, 1. maj og 15. maj (Kilde: SEGES)

Vanding af majs

I skrivende stund runder vi månedsskiftet, og det minder os om, at majsen skal tages med i prioriteringen af vanding de steder, hvor det er muligt. Majsens blomstring har ofte i tidligere år været i slutningen af juli måned grænsende op til først i august. Da majsen er mest følsom for vandmangel i perioden tre uger før og tre uger efter blomstring starter den følsomme periode her i starten af juli måned. Majsens vegetative vækst er for alvor startet, og vandforbruget er derfor også stigende.

Bladlus i majs

I enkelte år ser vi nogle planter med mange bladlus i majs. Der er ikke nogen forsøgsdokumenteret skadestærskel, og vurderingen fra SEGES er derfor, at der skal være flere hundrede bladlus per plante, før der er et bekæmpelsesbehov. Det er kun lovligt at bekæmpe bladlus med Lamdex, som har en Off-label godkendelse til mindre anvendelse mod bladlus og agerugler i majs. Lamdex må ikke bruges senere end vækststadium 51 (hanblomsterstand mærkbar). Du finder Off-label godkendelsen, som skal vedlægges din sprøjtejournal, i nedenstående banner. Aktuelt har vi ikke set bladlus i majs i et omfang, som udløser en bekæmpelse.

Tabel 1 Bekæmpelse af bladlus og agerugler i fodermajs

 

 

Røde bladkanter på majs

Vi ser og hører om majs med røde bladkanter. Det er lidt forskelligt, hvor udbredt det ses; i nogle marker er det kun i mindre områder af marken, mens det i andre marker er mere omfattende. Som udgangspunkt vil de fleste huske at røde blade, som oftest er et af symptomerne på fosformangel. Det vil derfor være det nemmeste og hurtigste svar på årsagen. Dog mener vi, at virkeligheden ofte ikke er så simpel, da de røde bladkanter også kan findes i marker, som har fået 8-10 kg fosfor pr. ha i startgødning.

Rødfarvede blade ses også i andre afgrøder, hvor generel misvækst og kulde også giver ophobning af fotosyntese-produkter, der ikke omsættes og transporteres væk fra produktionsapparatet, og som derfor medfører rødfarvning af bladene. Da majs har det bedst under lune og gode forhold, er langt den bedste hjælp, som majsen kan få, derfor en god varm periode, som der heldigvis også ser ud til at komme nu. Udover de vejrmæssigt betingede forhold som tørke under fremspiringen og ikke mindst stress forårsaget af en lang periode med stærk blæst, kan misvækst selvfølgelig også skyldes forholdene i marken – det være sig strukturskader, dårligt såbed m.v.

Det bedste i forhold til "afhjælpning af røde majs" er formentlig varme og gode vækstbetingelser. Hvis du ønsker at gøre yderligere, kan det ikke udelukkes, at lidt N-gødning eventuelt kan hjælpe med at sætte væksten i gang. Der er ikke direkte forsøgsmateriale, som kan bekræfte dette, men det kan måske give lidt "ro i maven", at der er gjort noget for at prøve at styrke væksten. Det kræver selvfølgelig også, at der er luft i N-kvoten til at tilføre ekstra kvælstof. Flere har i forbindelse med rensning eller umiddelbart før også tildelt kvælstof, og det må også forventes at virke efter den seneste periode med nedbør.

Status på frostramte majs

Vi har tidligere skrevet om majs, der visnede ned på grund af sen nattefrost natten mellem torsdag den 22. maj og fredag den 23. maj. Vores erfaring er, at langt hovedparten af planterne har skudt på ny, selvom de uden tvivl er sat tilbage. Det kan blive interessant at sammenligne de frostskadede majs med de upåvirkede omkring høst for at sammenligne kolbeudviklingen, som må forventes at være lidt forsinket i de frostskadede majs.

Til toppen

Aktuelt i foderroer

Af planterådgiver Thomas Harbo

Skadedyr

I registreringsnettet i sukkerroer er der i uge 26-27 registreret fund i varierende antal af bedebladlus i næsten alle marker – i godt halvdelen af markerne over skadestærsklen. Ferskenbladlusene findes også i knap halvdelen af markerne, men her er skadestærsklen endnu ikke overskredet. De udbredte fund af bladlus betyder, at vi nu også her i Vest - og Sydjylland bør gå markerne systematisk igennem for bladlus. Nedenstående billeder er optaget i en roemark i Varde-området den 25. juni.

Billede 1 Koloni af bedebladlus. De findes på enkelte planter, men slet ikke i nærheden af bekæmpelsestærsklen. (Foto: Thomas Harbo, SAGRO)

Billede 2 Ferskenbladlus findes på mindre end 10 procent af planterne i den aktuelle mark. (Foto: Thomas Harbo, SAGRO)

De sorte bedebladlus er lettest at finde, men det vil være nok så vigtigt at finde ferskenbladlusene, hvis de er i marken, da de overfører smitten med den tabsvoldende sygdom virusgulsot. Læs mere om skadestærskler og bekæmpelse i TILVÆKST Grovfoder nr. 17.

Vanding

Roerne har en meget lang vækstsæson, og i og med at de ikke skal blomstre og sætte frø, har de ikke noget "særligt følsomt tidspunkt for vandmangel" ligesom ærter, korn og majs. Tvært imod har de kompensatorisk vækst ligesom græs. Det betyder dog ikke, at vanding ikke skal prioriteres i roerne, men derimod kan den kompensatoriske vækst udnyttes, således at roer og græs kan vandes godt op, inden majsen skal vandes hen mod blomstring i løbet af et par uger.

Roerne har nu en stor bladmasse, og den potentielle fordampning fra afgrøden er stor. Aktuelt vil vandunderskuddet mange steder være så stort, at roerne vil kvittere for vanding.

Billede 3 Roerne begynder så småt at sove på de lette jorde (Foto: Thomas Harbo, SAGRO)

Til toppen

Regler og tilskud


Er type 2 korrektion en mulighed for dig?

Af kvægrådgiver Niels Clement Justesen

Type 2 korrektion er en mulighed for at reducere kravet til harmoniareal, hvis de faktiske forhold på bedriften giver en mindre mængde N og P udskilt i gødningen end normtallene. Bemærk, at starttidspunktet er flyttet frem, fra d. 1. juli til 15. juni.

Ved en type 2 beregning anvendes egne tal for ydelse eller produktionsniveau, fodermængder og foderets indhold af N og P.

Det er muligt at beregne en type 2 korrektion for kun malkende og golde eller at foretage en beregning på alle dyregrupper på bedriften, som omfatter malkende, golde, kvier og kalve.

For at kunne beregne en type 2 godkendelse, skal der foreligge mindst fire foderkontroller fordelt jævnt over året for de dyregrupper, som skal indgå i opgørelsen. Foderkontroller som de fleste udarbejder i forvejen til Arla. Opgørelsesperioden skal dække 365 dage og kan ligge i perioden fra 15. juni 2024 og frem til 31. august 2025. Bemærk, at starttidspunktet er flyttet frem fra den 1. juli til 15. juni, og det vil derfor være muligt at påbegynde beregning før.

For de fleste mælkeproduktioner kan der udarbejdes en endelig type 2 beregning, når der først i juli foreligger produktionstal i DMS for juni måned 2025.

Kontakt din plante- eller kvægrådgiver og hør om, hvorvidt type 2 korrektion er en mulighed for dig.

Til toppen

Hvad betyder en §3-registrering for dig som lodsejer?

Af miljø- og naturrådgiver Louise Spanggaard Jakobsen

Kommunerne gennemgår løbende §3-arealerne og udpeger herunder også nye arealer. Vær opmærksom på, at det har betydning for din ejendom og driften af arealerne.

Er du blevet kontaktet af kommunen om beskyttet natur (§3) på din ejendom? Det kan rejse en række spørgsmål og bekymringer. Her er nogle typiske situationer – og hvordan du kan forholde dig til dem.

  • Ny registrering – hvad betyder det for dig?

Der udpeges i øjeblikket mange nye §3-arealer i blandt andet Herning kommune. Hvis du modtager et brev om dette, kan det være uklart, hvad det konkret indebærer for dig og din ejendom. Det er vigtigt at få klarlagt betydningen af registreringen samt dine rettigheder og forpligtelser. Et areal kan godt vokse ind eller ud af sin beskyttelse. Det er kommunen, som er myndighed på området.

  • Er du uenig i registreringen?

Hvis du mener, at udpegningen er forkert, har du mulighed for sparring og evt. vurdering af arealet, inden der eventuelt gøres indsigelse. Det er driftshistorikken, luftfototolkning og botanikken i området, som er afgørende for, hvorvidt udpegningen skal fastholdes eller ophæves.

  • Påtale om ulovlige ændringer i naturen?

Myndighederne kan mistænke, at der er foretaget ændringer i et §3-område uden tilladelse. Det er vigtigt at kende dine rettigheder, og hvordan du bedst håndterer situationen – både fagligt og juridisk.

  • Planer om ændringer eller naturforbedrende tiltag – men i tvivl om reglerne?

Overvejer du at ændre driften eller landskabet men er usikker på, om det er lovligt i forhold til naturbeskyttelsen? Du kan få rådgivning om, hvordan du lovligt og hensigtsmæssigt kan gennemføre ændringer. Få vejledning og støtte til at realisere dine idéer inden for lovens rammer.

  • Hvad er processen i en klagesag om §3?

Typisk starter sagen med en indsigelse til kommunen, hvorefter det er muligt at klage til Miljø- og Fødevareklagenævnet. En klagesag tager ofte flere måneder – i nogle tilfælde op til et år.

Naturrådgiverne Mette Bækgaard Johnsen og Louise Spanggaard Jakobsen står klar til at hjælpe dig med at vurdere de konkrete sager. Uanset om det handler om ny registrering, klage eller naturforbedring.

  • Mette Bækgaard Johnsen, fagkoordinator natur og skov Tlf.: 96296646, Mail: mbj@sagro.dk
  • Louise Spanggaard Jakobsen, Natur og miljørådgiver Tlf.: 96296639, Mail: loj@sagro.dk
Til toppen
Download pdf