Header billede

TILVÆKST Grovfoder nr. 27, 5. september 2024

Udgivet d. 05-09-2024

Mark


Aktuelt i majs

Af planterådgiver Peter Siebert

Vi er inde i slutspurten i vækstsæsonen for majs, og det er tydeligt, at den seneste periode med lidt højere temperaturer har været godt for majsen. De første tørstofprøver af majs til helsæd er taget og viser som forventet store forskelle mellem tidlig og sent såede afgrøder.

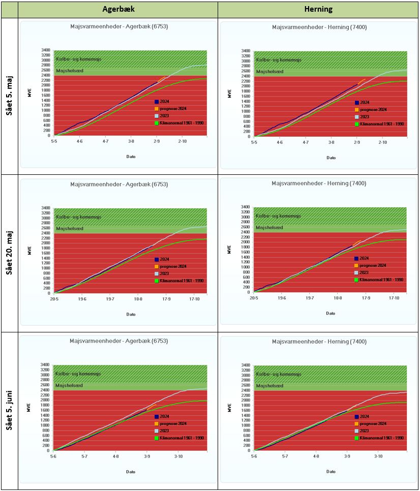
Majs til helsæd skal som udgangspunkt bruge 2.400 majsvarmeenheder (MVE), hvor tidlige sorter har det laveste behov, og sildige sorter har et større behov.

I nedenstående figur kan du danne dig et overblik over antallet af majsvarmeenheder for Agerbæk og Herning ved tre såtidspunkter, den 5. maj, den 20. maj og den 5. juni. Prognosen er i alle figurer tæt på at være på niveau med 2023 (lyseblå kurve). Figurens baggrundsfarve skifter fra rød til grøn ved 2.400 MVE, og det kan ses, at majs sået den 5. juni ifølge prognosen får svært ved at nå 2.400 MVE. Hvis vi antager, at udviklingen i resten af vækstsæsonen følger 2023, så vil majs sået den 5. juni kun lige nå de 2.400 MVE i Agerbæk, og i Herning vil majsen ikke nå de nødvendige 2.400 MVE. Det kan derfor være året, hvor valget af en lidt for sildig sort for lokaliteten i samspil med et sent såtidspunkt kan blive udslagsgivende for kvaliteten af majsen.

Figur 1 Majsvarmeenheder (MVE) for majs i Agerbæk og Herning, sået 5. maj, 20. maj og 5. juni (Kilde: SEGES)

Til toppen

Væltede majs

Af planterådgiver Thomas Harbo

Vær opmærksom på, at der er tendens til, at majsen vælter i pletter. Høst sådanne afgrøder til helsæd.

Inden for de seneste uger har flere bemærket, at majsen vælter i foragre eller i mindre områder i marken. Vi har også set det i vores sortsforsøg. Vi har endnu ikke noget overblik over omfanget af fænomenet og heller ikke over de eksakte årsager. Der er dog en sammenhæng med periodevis vandmættet jord og stærk blæst, hvor rødderne ikke kan holde fast. De væltede planter ses dog også at have begrænset rodvækst, hvor strukturskader og meget våd jord kan være årsagen.

Gå dine marker igennem for at se, om dine majs er ramt. Hvis du ser pletter med væltede majs, bør du følge afgrødens udvikling og høste inden omfanget bliver for stort. Det ser ud til, at det ikke vil være muligt at samle alle de væltede planter op, så det vil også resultere i et vist tab. Ramte marker bør høstes til helsæd, da risikoen for udbyttetab ved at udsætte høsten til kolbe- eller kernehøst er for stor.

Billede 1 "Rodvæltede majsplanter" (Foto: Thomas Harbo, SAGRO)

Billede 2 De væltede planter vokser indtil videre fortsat, men der er stor risiko for udbyttetab (Foto: Thomas Harbo, SAGRO)

Fænomenet er ikke set tidligere hos os, og vi kender som sagt ikke den nærmere baggrund for det. Vi følger op på sagen, når vi har ny viden.

Til toppen

Bedømmelse af høsttidspunkt

Af planterådgiver Peter Siebert

Majshelsæd skal høstes med et tørstofindhold på 30-34 procent. Benyt forskellige metoder til vurdering af det optimale høsttidspunkt.

Høsten af helsædsmajs nærmer sig efter en vækstsæson, som har været speciel. Majsen er sået over lang tid, og der er derfor store forskelle mellem marker i forhold til, hvornår de bliver helsædsmodne. I nedenstående afsnit kan du læse mere om fastsættelse og vurdering af det optimale høsttidspunkt for majshelsæd. Særligt i år kan det være vigtigt at huske på, at nedenstående vurdering beror på erfaringer med majs, som er normalt udviklede. I år er der større variation i majsens størrelse og udbyttepotentiale. Derfor kan det være svært at ramme det helt rigtige høsttidspunkt som gennemsnit for hele marken. Vurderingen af høsttidspunktet beror på en vurdering af kolben, som er den mest tørre del af planten, når den høstes til normal tid. I år er der majs i mange forskellige størrelser og udviklingstrin. En lille majsplante med en veludviklet kolbe kan derfor være mere tør end en stor majsplante med en forholds mindre andel af kolbe. Tørstofprocenten tilstræbes at være 30-34 procent tørstof for majshelsæd.

Til brug for bedømmelse af det optimale høsttidspunkt for majshelsæd er der flere metoder og værktøjer, du kan gøre brug af. Udover de faglige og visuelle bedømmelser i marken findes der også beslutningsstøtteværktøjer, som kan hjælpe dig med at træffe den rigtige beslutning og også hjælpe dig med at danne overblikket.

I nedenstående artikel vil vi komme ind på følgende metoder og beslutningsstøtteværktøjer til at ramme det rigtige høsttidspunkt for majshelsæden.

  • Bedømmelser i marken
    • Klemmemetoden
    • Kernevurdering
  • Tørstofanalyser
  • CropManager
    • Høstprognosen
    • Udbytteprognosen

Brug gerne flere forskellige metoder til at få taget beslutning om høsten af majshelsæd på det rigtige tidspunkt, så det hverken bliver for tidlig eller for sent. I normale år er udgangspunktet, at efteråret som oftest kun bliver mere vådt, jo længere vi kommer ind i sæsonen. I år er måske undtagelsen, hvor vi allerede går ind i majshøst-sæsonen med våde marker. Ikke desto mindre er det vigtigt at kende det rette tidspunkt for majshøsten.

Til toppen

Majs, visnetyper/stay-green

Af planterådgiver Vivi Ernstsen

Som omtalt i TILVÆKST Grovfoder nr. 25 så vi allerede for to uger siden marker, hvor de nederste blade var begyndt at blive gule og visne væk. Nu ses mere udbredt hele marker eller områder i marker, som tydeligt er meget blege og lyse, og som vi tolker som tegn på kvælstofmangel. De meget våde forhold gør dog i sig selv også, at majsen har dårlige vækstbetingelser og derfor er blevet lys.

Majsen kan dog også visne hurtigt ned af andre årsager, som ikke kan relateres til året, men som derimod er en egenskab ved sorten. Af hensyn til planlægning af høsten bør du derfor undersøge, om de anvendte sorter på bedriften er stay-green- eller dry-down-type (visnetype). Hvis majsen er af dry-down-typen vil den hurtigt visne ned, når den først har nået tørstofniveauet omkring helsædshøst, og du kan derfor hurtigt stå med en helt tør og vissen afgrøde. Nedenfor kan du læse nærmere om firmaernes egne vurderinger af sorternes stay-green-karakter. Da det er firmaernes egne vurderinger, og der ikke findes nogle objektive, målbare kriterier for stay-green, er de ikke sammenlignelige på tværs mellem firmaer.

Limagrain har i deres majskatalog angivet en skala for hver sort, hvilket niveau for stay-green sorten har. I kataloget kan man for blandt andet Echo, Prospect og LG 31.206 i teksten under sorten læse deres klassificering af stay-green og derefter sammenholde den med skalaen. Se Limagrain’s majskatalog her.

Syngenta har til TILVÆKST Grovfoder oplyst følgende informationer vedr. deres sorter; se tabel 1.

Tabel 1 Sorter fra Syngenta med klassificering
for stay-green (Kilde: Syngenta).


KWS har sendt os flg. tabel med oplysninger om deres sorter. Foruden klassificering af stay-green har KWS også angivet høstvinduet for sorterne.

Tabel 2 KWS' klassificering af stay-green og høstvindue for udvalgte sorter (Kilde: KWS).

Til toppen

Bedømmelse af majsens udvikling

Af planterådgiver Peter Siebert og planterådgiver Thomas Harbo

De fleste benytter sig af en form for visuel bedømmelse af majsens udvikling. Der findes flere metoder hertil, som gennemgås her.

Du kan selvfølgelig på helt gammeldags manér vurdere afgrøden i marken – og det er vel egentlig også det, de fleste gør – med større eller mindre held. Tørstofbestemmelse i tørreskab eller NIR-scanner og anvendelse af prognoseværktøjer kan med fordel benyttes sammen med afgrødevurdering i marken, da prognosen kan være med til at "kalibrere" den visuelle bedømmelse.

Bedømmelse i marken

Det vigtige er ikke hvilken metode, du anvender, men derimod at der er fokus på afgrødeudviklingen, så majsen ikke bliver for tør. Hvis majsen bliver høstet for tidligst, koster det tilvækst og dermed udbytte. Høstes afgrøden derimod for sent, kan du sætte rigtig meget over styr i stakken.

Der findes flere metoder til afgrødebedømmelse i marken, men kun de to mest udbredte og enkle skal omtales her.

  • Klemmemetoden er den mest almindeligt anvendte metode til visuel bedømmelse.
    Tørstofindholdet i hele planten er cirka 31-33 %, når du med vanskelighed kan klemme en dråbe ud af de midterste kerner i kolben. Tørstofindholdet er lidt lavere i meget grønne planter og lidt højere i visne planter.

  • Kernevurdering
    Tørstofindholdet i hele planten er cirka 31-33 %, når den inderste tredjedel af kernen er hvid med en mælket konsistens, den mellemste tredjedel af kernen er gul med en melet og dejagtig konsistens, og den yderste tredjedel af kernen er skinnende gul med en glasagtig konsistens. Tørstofindholdet er lidt lavere i meget grønne planter og lidt højere i visne planter.
    Efterhånden som kernerne modner, bevæger den gule front sig ind mod kernens tilhæftningssted, og tørstofprocenten stiger.

Figur 2 Kernevurdering. Metode til vurdering
af tørstofindhold på baggrundaf kernefarve
og konsistens (Kilde: SEGES).

Tørring af kolber

rstofindholdet i majskolberne er 50-51 %, når afgrøden er klar til helsædshøst. Tørstofindholdet i blade og stængel betyder selvfølgelig også noget for det samlede tørstofindhold i afgrødemassen, men det flytter almindeligvis ikke mere end to til tre procentpoint; i meget varierende afgrøder måske op til tre til fire procentpoint.

Ved at tørre et antal repræsentativt udvalgte majskolber, uden svøbblade og med tæt afskåret kolbestilk, ved 80 – max. 85 °C i en almindelig ovn, kan du selv bestemme tørstofindholdet. Kolberne skal tørres indtil vægten ikke længere daler; du skal forvente, at det tager omkring et døgn eller mere.

Tørstofindholdet bestemmes herefter på flg. måde:

Husk, at skålen eller fadet, som du tørrer kolberne i, IKKE skal vejes med!

Tørstofbestemmelse af hele majsplanter i tørreskab

Ligesom i de foregående år tilbyder SAGRO Kvæg at lave tørstofanalyser af majsplanter til bestemmelse af tørstofindholdet. Bestemmelse af tørstofprocenten er den bedste indikator for majsen udvikling, og der kan være forskel fra mark til mark afhængig af såtidspunkt, sort, gødningsniveau og bonitet m.v. Ved at kende tørstofindholdet kan høsten planlægges, og de mest tørre majs kan ligges i bunden af siloen. Viser tørstofanalysen, at der er længere tid til høst, kan du indtaste din tørstofanalyse i majshøst-prognosen i CropManager, og du får et godt bud på det optimale høsttidspunkt i dine marker.

For at få et godt billede af afgrødeudviklingen i dine marker, skal SAGRO Kvæg bruge seks hele majsplanter klippet i normal stubhøjde. Du skal klippe tre planter to forskellige steder i marken. De seks planter klippes i stykker, så de kan være i en plasticsæk. Bind straks for sækken, så majsen ikke kan "ånde" og tørre ud inden tørstofbestemmelsen. Beskyt sækken mod solen. Efter nærmere aftale, herunder også pris, henter vi også gerne majsplanterne hos dig.

Kontakt altid SAGRO Kvæg inden du kommer med planter, så du er sikker på, at der er plads i tørreskabet.

For analyse med NIR-scanner skal prøven indleveres i Esbjerg.

For planter indleveret hos SAGRO er prisen 475 kr. pr. prøve for snitning og nedtørring. Du får svar inden 48 timer.

Tørstofbestemmelse og analyse i NIR-scanner af hele majsplanter

Ved analyse af majsen med NIR-scanner får du foruden tørstofbestemmelse også værdier for indhold af stivelse, NDF og sukker. Ligesom ved prøver til tørreskabet kan du med fordel kontakte SAGRO Kvæg for en aftale, da det giver den bedste arbejdsgang, og du vil hurtigere få resultatet. Du kan forvente flg. svartider.

  • Skal SAGRO Kvæg hente planterne hos dig, vil du normalt kunne forvente at få resultatet samme dag.
  • Indleverer du selv planterne hos SAGRO i Esbjerg, får du resultatet fra dag til dag.
  • Har du lavet en aftale med en medarbejder i SAGRO Kvæg, Esbjerg, og du selv tager planterne med, kan analysen laves, mens du venter og drikker en kop kaffe.

For planter indleveret hos SAGRO er prisen 475 kr. pr. prøve for snitning og analyse i NIR-scanner.

CropManager – Udbytte- og majshøsttidsprognose

Vi har tidligere omtalt muligheden for at se en udbytteprognose i CropManager for majshelsæd i TILVÆKST Grovfoder nr. 24. Udover udbytteprognosen er der også en majshøsttidsprognose, som kan give en indikation af den forventede tørstofprocent og udvikling i tørstofprocent i den resterende del af vækstsæsonen. Høsttidsprognosen kan finjusteres med en tørstofprøve fra den aktuelle mark. Ved at gøre brug af majshøsttidsprognosen er det muligt at planlægge helsædshøsten i god tid. Der er tale om en prognose, som benytter informationer om såtidspunkt og sortsvalg, og derfor kan prognosen kun bruges, hvis oplysningerne er ajourført i f.eks. Farmtracking, CropManager eller MarkOnline. Du kan selvfølgelig også rådføre dig med din planterådgiver og den vej igennem få udskrifter fra majshøsttidsprognosen og udbytteprognosen.

SEGES har lavet en gratis prøveperiode på CropManager, så det er muligt at tilgå de værktøjer, som normalt kræver et abonnement til CropManager. Derfor kan du i perioden frem til den 31. marts 2025 gratis tilmelde dig CropManager og gøre brug af de beslutningsstøtteværktøjer, som er til rådighed her. Se nedenstående artikel om gratis abonnement til digitale produkter. Jeg vil anbefale, at du ser på majshøsttidsprognosen og udbytteprognosen for dine marker, det kan give en rigtig god indsigt i markernes udbyttepotentiale og kan hjælpe med til at planlægge majshelsædshøsten i samspil med de andre nævnte metoder og analyser.

CropManager er en del af den samme grundlæggende platform som FarmTracking og MarkOnline, som bruges i hhv. marken og til mark-og gødningsplanlægningen. Dermed deles alle oplysningerne mellem FarmTracking, CropManager og MarkOnline. Har du f.eks. lavet mange registreringer i Farmtracking, kan de også ses i såvel CropManager som MarkOnline.

I nedenstående figur kan du se et eksempel på en majshøsttidsprognose for en mark i den sydlige del af SAGRO´s geografiske område, som er sået i starten af maj måned. Høsttidsprognosen er i dette tilfælde finjusteret med en aktuel tørstofanalyse fra marken den 30. august, som viste 26,3 procent tørstof. I dette tilfælde blev høsttiden fremrykket med 10 dage efter indtastning af tørstofprøve.

Figur 3 Udklip af høsttidsprognose fra CropManager, korrigeret med tørstofanalyse den 30. august med 26,3 procent tørstof (Kilde: SEGES)

Aktuelle tørstofanalyser fra majssortsforsøgene

I nedenstående tabel kan du se tørstofprøver for udvalgte majssorter udtaget i majssortsforsøgene i Varde og Holstebro. Som det ses i tabellen, er begge forsøg sået forholdsvist tidligt for året, begge i starten af maj. Tørstofprøverne er analyseret med NIR-analyse af SAGRO. Sorterne er rangeret efter den forventede tidlighed, med de tidlige sorter øverst og de sildige sorter nederst. Analyserne passer nogenlunde med forventningerne.

Tabel 3 Tørstofindhold i majssorter til helsæd høstet med 30 cm stub (Kilde: NIR-analyse SAGRO)

Til toppen

Aktuelt i græs

Af planterådgiver Thomas Harbo

Udbring ikke mere gylle end højest nødvendigt til græs i september – og allerbedst slet ikke noget.

Udbringning af gylle

Flere har benyttet det gode vejr hen over den forgangne weekend til at få taget et slæt græs. Spørgsmålet er så, om markerne skal tildeles gylle til et sidste slæt, eller om det er bedre at undlade yderligere tilførsel af næringsstoffer?

Vi er nu gået ind i årets første efterårsmåned, og du skal til at tænke på at give de græsmarker, som skal ligge til produktion i 2025, den rigtige afslutning. Den bedste afslutning på sæsonen 2024 for en god og sikker overvintring og hvileperiode i vintermånederne er IKKE at give marken en stor mængde gylle her i september. Har du efter en ualmindelig nedbørsrig sommer stadig for meget gylle på lager, er du selvfølgelig nødt til at prioritere at få nedbragt lageret. Gylleudbringning nu må dog anses for at være en nødløsning. Har du ikke selv tilstrækkelig opbevaringskapacitet, bør du i stedet undersøge mulighederne for at leje den fornødne opbevaringskapacitet.

Har du taget slæt inden for den seneste uges tid – og planlægger at høste endnu et slæt i oktober – kan det måske nok forsvares fagligt at udbringe en MINDRE mængde gylle til græsset. Høster du først græs senere i september, skal tildeling af gylle udelukkende ses som en mulighed for at nedbringe gyllelageret inden vinterperioden, som desuden øger risikoen for, at græsmarken udvintrer. – Betragt det derfor udelukkende som en nødløsning. Vælger du alligevel at udbringe gylle på dette fremskredne tidspunkt, bør gyllen i videst muligt omfang alene tilføres til græsmarker, som skal lægges om i foråret 2025; - kvæg-undtagelsesbrug – læs dog også nedenfor. Som udgangspunkt vil udnyttelsen af næringsstofferne i gylle være højere i februar end ultimo september, men selvfølgelig er der en risiko for, at forholdene ikke er til gyllekørsel i februar.

Kvæg-undtagelsesbrug

Husk, at der for kvæg-undtagelsesbrug gælder en regel om, at græsmarker, der skal lægges om i foråret 2025, IKKE må tildeles gylle fra 1. september 2024. Dette gælder også selvom kvæg-undtagelsesreglen nu ophører!

Til toppen

Ammoniakbehandling af halm

Af planterådgiver Thomas Harbo

I mange kommuner er der givet dispensation til ammoniakbehandling af halm. I denne artikel kan du læse SEGES' vejledning om korrekt dosering og anvendelse af ammoniakbehandlet halm.

Som vi skrev i TILVÆKST Grovfoder nr. 26, kan der nu lovligt ammoniakbehandles halm i mange kommuner. Nedenfor følger SEGES retningslinjer for dosering og anvendelse af halmen. Ammoniak anvendt til foderformål skal stadig ikke indregnes i kvælstofforbruget til udnyttelse af ejendommens kvælstofkvote.

Der er ikke kommet flere kommuner på listen, som derfor stadig ser således ud.

Tabel 4 Kommuner, hvor der er opnået dispensation til anvendelse
ammoniakbehandling af halm.

Antallet af nedbørsdøgn kan følges på Miljøstyrelsens hjemmeside.

Dosering og tildeling af ammoniak til halm

Kilde: SEGES

Ammoniakken fordeler sig dårligere i fugtig halm end i tør halm. Derfor er det vigtigt at bjærge halmen så tør som muligt.

  • Der skal anvendes 3,0 pct. af halmtørstoffet til at konservere fugtig halm.
  • Mængden kan reduceres til 2,0-2,5 pct., hvis halmen er næsten lagerfast, eller hvis der tildeles ammoniak til hver enkelt balle med spyd.
  • Behandles i markstak bør der maksimalt være 2,5-3,0 meter mellem indføringsstederne.

Ammoniakbehandling frarådes i frøgræshalm og hø samt i halm med meget græs på grund af betydelig risiko for dannelse af nervegiften 4-methylimidazol.

Anvendelse af ammoniakbehandlet halm

Halm, der er konserveret med ammoniak, bør først og fremmest anvendes som foder. Anvendelse af ammoniakbehandlet halm til strøelse må være en absolut nødløsning, og vi kan ikke udelukke, at det kan have negativ betydning for dyrenes sundhed, fordi ammoniak kan give irritation af hud og slimhinder. Anvendelse af ammoniakbehandlet halm til strøelse bør også begrænses mest muligt, fordi der vil være et større kvælstoftab til miljøet. Ved fodring udnytter koen en del af det kvælstof, der er i halmen.

Uanset anvendelsen skal halmen udluftes godt inden anvendelse, både af hensyn til mennesker og dyr. Tag derfor ballerne ud af stakken flere dage før anvendelse.

Kvælstof og gødningsregnskab

Kvælstof anvendt til foderformål skal med i gødningsregnskabet, men maskinstationen skal indberette det, som kvælstof anvendt til foderformål. Det beslaglægger derfor ikke noget af ejendommens kvælstofkvote til markerne, og der skal ikke betales kvælstofafgift.

Til toppen

Få et gratis abonnement på flere digitale produkter

Af SEGES

Nu har du chancen! Har du overvejet, om digitale programmer er noget for dig, så er det nu, du skal slå til. Lige nu kan du nemlig prøve både FarmTracking og CropManager ganske gratis og uden forpligtelser.

Faktisk har du rigtig god tid til at komme godt i gang og blive superbruger i de digitale produkter.

Den gratis prøveperiode løber nemlig helt fra 1. september 2024 og til 31. marts 2025, og i den periode kan du få et gratis abonnement på:

  • FarmTracking Basic + Premium
  • CropManager Basic, Tildelingslag og Varslingspakke

Produkterne kan bestilles via segesinnovation.dk, landmand.dk, cropmanager.dk eller ved at kontakte SEGES Innovations kundecenter på telefon 70155015 eller kundecenter@seges.dk

FarmTracking

Med FarmTracking har du altid et detaljeret overblik over dine behandlinger i marken. Via FarmTracking appen kan du foretage nye registreringer hurtigt og lige der, hvor du er - uanset om det er på kontoret eller i marken.

Med FarmTracking kan du blandt andet:

  • Få et hurtigt overblik over din markplan.
  • Se og registrere i dyrkningsjournalen, så den altid er opdateret.
  • Foretage afdriftsdokumentation og pesticidkontrol.

Du kan bestille og finde mere information om Farmtracking på nedenstående banner

 

 

CropManager

CropManager er et premium værktøj til dig, der vil arbejde professionelt med præcisionsjordbrug. Med en lang række funktioner som for eksempel tildelingslag, topaktuelle biomassekort og prognoser for blandt andet høst og lejesæd, har du alt du skal bruge lige ved hånden.

Med CropManager kan du blandt andet:

  • Få automatisk oprettede tildelingskort baseret på din dyrkningsplan
  • Håndtere flere marker samtidig og oprette tildelingslag i ét klik
  • Sende og modtage data til og fra alle maskiner – direkte eller via Agrirouter
  • Få beslutningsstøtte i prognoserne for lejesæd, svampesygdomme og høsttidspunkt

Du kan bestille og finde mere information om CropManager på nedenstående banner

Bemærk: Hvis du ønsker at prøve CropManager Basic forudsætter det, at du også bestiller et abonnement på enten Tildelingslag eller Varslingspakken.

Har du spørgsmål til produkterne eller kampagnerne, er du altid velkommen til at kontakte SEGES Kundecenter på 70155015 eller kundecenter@seges.dk.

Til toppen

Regler og tilskud


Hvilke aktiviteter er tilladt på brakarealer?

Af planterådgiver Thomas Harbo

Det er ikke tilladt at udføre landbrugsaktiviteter på braklagte arealer. Som udgangspunkt er det derfor kun den årlige afpudsning i perioden 1. august til 25. oktober, der er tilladt på slåningsbrak. På blomster og bestøverbrak er etablering i foråret 2023 eller 2024 tilstrækkelig til, at arealet er støtteberettiget. Kravet om "ingen landbrugsaktivitet" på brakarealer gælder i hele kalenderåret.

Det er endnu uafklaret om det obligatoriske brakkrav forsvinder med udgangen af dette år. Selvom det kan være fristende, er det altså ikke tilladt hverken at kalke, nedvisne eller jordbehandle de marker, som i år er anmeldt som brak. Viser en kontrol, at der er udført ikke lovlige aktiviteter på arealet, vil arealet blive underkendt som brak og omklassificeret i overensstemmelse med plantedækket, og du risikerer, at kravet om obligatorisk 4 % brak ikke kan overholdes. I henhold til ovenstående er det heller ikke tilladt at dræne eller vedligeholde dræn i det år, hvor marken er anmeldt som brak.

Til toppen

Våde PLG-arealer? Søg dispensation for manglende opfyldelse af forpligtigelser

Af naturrådgiver Emil Grøn Jensen

Landmænd og lodsejere med PLG-tilsagn (pleje af græs og naturarealer) står over for en vigtig deadline den 15. september. Afhængig af, hvilket tilsagn man har, skal områderne enten afgræsses eller tages slæt på inden denne dato. Men hvad gør man, hvis marken er for våd til, at dette kan gennemføres?

Mulighed for fleksibilitet

På dine tilsagnsarealer, hvor du er forpligtiget til at udføre en plejeaktivitet (enten afgræsning eller slæt), må der indgå delarealer på den enkelte mark på op til 1 ha, der ikke er plejet. Dette kaldes fleksibilitet. Sådanne delarealer må til sammen udgøre maksimum 20 pct. af markens areal, der i øvrigt lever op til støtteberettigelseskriterierne. Holder dine arealerne sig indenfor disse grænser, er det ikke et problem.

Udgør de våde områder mere end 1 ha eller 20 % af markens areal?

Det er afgørende at søge dispensation, hvis de omhandlende arealer er større end 1 ha og udgør mere end 20 % af markens areal. Denne dispensation skal indsendes inden den 15. september, da det er her skæringsdatoen er for opfyldelsen af tilsagnets forpligtigelser ligger. Uden dispensation risikerer du at miste tilskuddet og få sanktioner, hvis ikke kravene er opfyldt i tide.

Du vil blive trukket årets støtte for de arealer, du søger dispensation til - medmindre Landbrugsstyrelsen vurderer, at det får en ubetydelig virkning. Det er dog stadig en fordel for dig at søge dispensation. Hvis du ikke søger dispensation, risikerer du at blive underkendt ved kontrol og i værste fald miste flere års udbetaling til arealet.

Derfor er det vigtigt at handle nu. Vurder dine marker, og hvis de er for våde til slæt eller afgræsning, så tag kontakt til din planterådgiver og få hjælp til at søge dispensation. Dette kan sikre, at du opfylder dine forpligtelser og undgår potentielle sanktioner.

Du kan læse mere dispensationer til PLG-tilsagn her: https://lbst.dk/groen-omstilling/hvad-kan-du-goere-som-landbruger/naturpleje/pleje-af-graes-og-naturarealer/dispensation

Til toppen

Permanent ekstensivering – ny ordning fra Landbrugsstyrelsen

Af naturrådgiver Emil Grøn Jensen

Landbrugsstyrelsen har netop åbnet for tilmeldinger til ordningen "Permanent Ekstensivering", der har til formål at styrke den danske indsats for at reducere udledninger af drivhusgasser, minimere kvælstofudvaskning og forbedre biodiversiteten. Ordningen tilbyder et økonomisk tilskud til de landmænd og lodsejere, der vælger at indgå i ordningen. Ansøgningsfristen er fastsat til d. 31. oktober 2024.

Tilskud og tinglysning

Tilskuddets størrelse vil være 82.500 kr./ha for omdriftsarealer og 35.500 kr./ha for permanente græsmarker. Gives der tilsagn fra Landbrugsstyrelsen, laves en permanent tinglysning på arealet, som omhandler et fremtidig gødsknings-, omlægnings- og sprøjtningsforbud. Det vil forsat være muligt at få grundbetaling på arealet, og arealet må forsat afgræsses eller bruges til slæt. Derudover vil det i fremtiden være muligt at få et ekstra tilskud til naturpleje, og der kan også gives dispensation til at rejse skov på arealet.

Af tinglysningen kommer det også til at fremgå, at hvis det pågældende areal i fremtiden bliver en del af et større sammenhængende vådområde- eller lavbundsprojekt, er det ikke muligt at afvise et sådant projekt.

Få tilskud før kommunen udpeger arealet som §3-natur

Det kunne være relevant at tage et kig på de marker, der har ligget som græsmarker de sidste mange år. Har du våde eller fugtige græsmarker, der ikke har været omlagt de sidste 7-10 år, og som der ikke er planer om at ændre driften af, vil det være relevant at overveje ordningen. Kommunen har nemlig mulighed for at udpege sådanne områder som §3-beskyttet natur, og en sådan udpegning vil give samme restriktioner som denne ordning, men uden nogen form for tilskud eller kompensation.

Vil du gerne høre mere om ordningen, er du velkommen til at kontakte:

  • Herning Michael Illum Hansen, tlf.: 96 29 66 44, mail: mhh@sagro.dk
  • Billund og Esbjerg Nicolai Smed Kjær, tlf.: 76 60 21 85, mail: nsk@sagro.dk
  • Billund og Esbjerg Emil Haugaard Smed, tlf.: 76 60 21 70, mail: ehs@sagro.dk
  • Holstebro Emil Grøn Jensen, tlf.: 96 29 66 28, mail: egj@sagro.dk
Til toppen

Arrangementer


Majsdage 2024 – Varde og Holstebro

Igen i år holder SAGRO to majsdage i majssortsforsøgene. I Varde er det onsdag den 11. september, og i Holstebro tirsdag den 17. september, begge dage i tidsrummet 10.00-12.00. Programmet vil være det samme begge dage.

I år er der foruden den normale fremvisning af majssorter også fokus på øvrige forsøg, som ligger i tilknytning til sortsforsøget. Programmet for dagene ser således ud:

  • Fremvisning af majssorter v/landskonsulent Martin Mikkelsen
  • Forsøg med gødningsmængder og udbringningsmetode og forskellige udbringningstidspunkter
  • Forsøg med forskellige nitrifikationshæmmer
  • Forsøg som skal medvirke til at, vi får lov at dyrke majs i fremtiden
  • Forsøg med spotplacering af startgødning
  • Fremvisning af sorter af foderroer (Kun Holstebro)
    • Arrangementerne afsluttes med gratis forplejning. Der er ingen tilmelding.

Nedenfor er der link til arrangementerne

VARDE – Majsdage 2024 (sagro.dk)

HOLSTEBRO – Majsdage 2024 (sagro.dk)

Til toppen
Download pdf