Header billede

TILVÆKST Grovfoder nr. 23, 8. august 2024

Udgivet d. 08-08-2024

Mark


Aktuelt i majs

Af planterådgiver Vivi Ernstsen

Majsen står meget uens i år, men dykker vi ned i data om akkumulerede majsvarmeenheder, så burde majsen være på niveau eller lidt foran i forhold til den pågældende sådato i 2023. For de sent såede afgrøder er der dog grund til alvorlig bekymring mht. kvalitet og udbytte.

Afgrødeudvikling

Der er fortsat store forskelle mellem majsmarkerne afhængig af såtidspunktet og vækstbetingelserne i marken. Det er stadig tydeligt at se de steder i markerne, som har mindre strukturskader, og som er meget vandlidende. Vækststadiet i afgrøderne spænder bredt denne sæson. På nuværende tidspunkt ses marker, hvor majsen står lige fra 8-bladstadiet til fuld blomstring – og alt derimellem.

Billede 1-3 Majs sået på forskellige tidspunkter. Fra venstre mod højre er dsådatoen 27. juni, 27. maj og 11. maj. Majs i vækststadie 18 (8-bladstadiet) til vækststadie 65 (Fuld blomstring). Mellem arealerne er der ca. 6 km i luftlinje. (Fotos: Vivi Ernstsen, SAGRO)

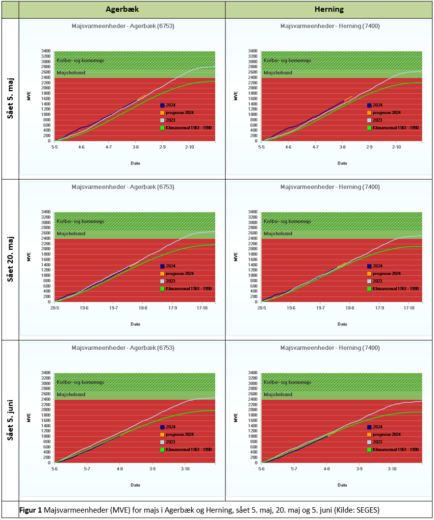
På nuværende tidspunkt kan forventningerne til afgrøderne bedst opgøres ved at se på summen af akkumulerede majsvarmeenheder (MVE) for den enkelte afgrøde, da det har stor betydning for, hvornår majsen bliver færdig til høst. I nedenstående figur er der opstillet tre scenarier for majsens udvikling ved forskellige såtidspunkter for lokaliteterne Agerbæk og Herning; sådatoerne er 5. maj, 20. maj og 5. juni.


I de sidste mange år har vi typisk ligget et godt stykke over den gamle klimanormal for 1961-1990, og det er måske derfor ikke den, vi skal sammenligne med. Derimod kan der sammenlignes med 2023, som dog ikke havde den samme ualmindelige varme periode i maj, som efterfølgende blev afløst af en kold periode i juni. Derfor ser kurven for akkumulerede MVE i 2024 lidt anderledes ud end for 2023.

Sammenlignet med 2023 er majs enten foran eller på niveau med nedenstående MVE-sum afhængig af såtidspunktet:

  • Majs sået den 5. maj er ca. på niveau med 2023 i Agerbæk og 100-150 MVE foran i Herning.
  • Majs sået den 20. maj er på niveau med 2023.
  • Majs sået den 5. juni er på niveau med 2023.

Samlet set er der i majs akkumuleret nedenstående MVE-summer:

  • Majs sået den 5. maj ca. 1.500-1.600 MVE
  • Majs sået den 20. maj ca. 1.300 MVE
  • Majs sået den 5. juni ca. 1.000 MVE

Sent sået majs – bliver afgrøden klar til høst?

Problemet med at sammenligne de akkumulerede MVE for sent såede majs med tilsvarende år er dog, at vi normalt ikke sår majs så sent, som det er sket i år.

Majs skal, afhængig af tidlighed, nå 2.400-2.600 MVE for at være klar til helsæd. For at nå det med rimelig stor sikkerhed, må afgrøderne ikke være sået senere end 20.-25. maj. I år er mange marker tilsået efter dette tidspunkt og endda langt ind i juni måned. Vi kan selvfølgelig være heldige, at vi får en varm og solrig sensommer og et lunt og nedbørsfattigt efterår, men vi må ikke forvente, at alle majsafgrøder kommer til at give et fornuftigt udbytte af en tilfredsstillende god kvalitet. Vi skal være meget heldige, hvis majs, som endnu ikke er begyndt at blomstre i næste uge, opnår en tilfredsstillende kolbeudvikling og stivelsesniveau og dermed også udbytte.

Selvom mange slætgræsmarker heldigvis har givet store udbytter af en god kvalitet, vil det derfor være rettidig omhu at høste nogle af de sent såede vårbygmarker, som heller ikke ser prangende ud, som helsæd. Har du ikke selv vårbyg, der kan ensileres, har nogle af dine naboer måske nogle afgrøder stående, som vil gøre bedre fyldest i siloen end som en afgrøde høstet til modenhed?

Til toppen

Regler og tilskud


Efterafgrøder, etablering og regler

Af planterådgiver Thomas Harbo

Som de fleste nok er klar over, er fristen for rettidig etablering af husdyr- og pligtige efterafgrøder samt målrette efterafgrøder, såvel frivillige- som obligatoriske-, den 20. august. Får du ikke høstet i næste uge, bør du få udspredt frøene snarest muligt. Heldigvis er det meste etableret som græsefterafgrøder i vårsæd og majs, men nogle satser også på at opfylde efterafgrødekravet med efterafgrøder sået i august. Reglerne gennemgås i denne artikel.

Ændringer skal indberettes

Som udgangspunkt er dine planlagte arealer med efterafgrøde anmeldt i årets Fællesskema. Ændrer du ikke noget i forhold til din plan, skal du blot følge den. Ændrer du derimod marker og/eller arealstørrelse, eller hvis du først får sået efterafgrøderne efter den 20. august, skal disse ændringer indberettes i skemaet 'Gødningskvote og efterafgrøder' (GKEA) senest 10. september. Det gælder for efterafgrøder af alle kategorier.

Regler for efterafgrøder

Pligtige-, husdyr- og målrettede efterafgrøder skal som udgangspunkt sås senest 20. august, men der kan fortages forsinket etablering frem til 7. september imod et træk i kvælstofkvoten eller ved at benytte opsparede efterafgrøder.

Manglende etablering af efterafgrøder kan medføre sanktion efter reglerne om konditionalitet. Reglerne gennemgås nedenfor.

Det er vigtigt, at ændringer i efterafgrødeplanen eller forsinket etablering af planlagte efterafgrøder indberettes til Landbrugsstyrelsen senest den 10. september. Kontakt din planterådgiver for at få hjælp.

Du skal ændre din efterafgrøde-indberetning, hvis:

  • Du flytter efterafgrøder til andre marker.
  • Du etablerer flere eller færre efterafgrøder end planlagt.
  • Du etablerer efterafgrøder mellem den 20. august og 7. september.
  • Du ønsker at benytte vintersæd sået senest 7. september, som alternativ til efterafgrøder.

Frister – etablering og nedvisning/destruktion

Efterafgrøderne skal som udgangspunkt sås senest 20. august, og de må som udgangspunkt tidligst nedvisnes den 20. oktober. Der er ikke længere udsat destruktionsfrist for efterafgrøder etableret senere end 20. august. Der er dog flg. undtagelser fra den generelle frist for nedvisning/destruktion den 20. oktober:

  • Efterafgrødeblandinger med kvælstoffikserende arter må tidligst nedvisnes/destrueres den 1. februar 2024.
  • Efterafgrøder i majs må tidligst nedvisnes/destrueres den 1. marts 2024.
  • Græsefterafgrøder på kvæg-undtagelsesbrug må tidligst nedvisnes/destrueres den 1. marts 2024.

Du kan udskyde såningen af efterafgrøder til perioden 21. august til 7. september, men det medfører et træk i næste års kvælstofkvote, planperiode 2024/2025. I tabel 1 kan du se, hvor meget kvælstofkvoten nedsættes med.

Tabel 1 Træk i kvælstofkvoten for hver hektar med pligtige-, husdyr- og målrettede
efterafgrøder, hvor etableringen er forsinket ud over fristen. Kvotetrækket afhænger
af såtidspunkt og omfanget af tildelt husdyrgødning på ejendommen.


Hvis du har præcisionsudstyr, er det muligt at få kvotereduktionen pr. dag, du sår dine efterafgrøder sent. Der er flg. krav til dokumentation:

  • Logfil i SHAPE-format, der kan dokumentere, at du har udført positionsbestemt OG datobestemt såning af dine efterafgrøder.
  • Husk, at dokumentationen skal opbevares i fem år fra udløbet af planperioden 2024/2025, da denne skal kunne fremvises i forbindelse med en eventuel kontrol.

Hvis etableringstidspunktet udskydes til perioden 21. august til 7. september, skal datoen indberettes i Gødningskvote- og efterafgrødeskemaet i Tast selv-service senest 10. september.

Brug af opsparede efterafgrøder ved sen etablering

Har du etableret dine efterafgrøder efter den 20. august, er det nu muligt at bruge opsparede efterafgrøder i stedet for at få en reduktion af kvælstofkvoten den efterfølgende planperiode (planperioden 2024/2025). Det betyder, at du i stedet kan vælge at bruge opsparede efterafgrøder som kompensation for den manglende miljøeffekt, når du etablerer efterafgrøder efter fristen den 20. august. Det er dog kun muligt at anvende et opsparet efterafgrødeoverskud ved forsinket etablering af pligtige- og husdyrefterafgrøder; det gælder altså IKKE ved forsinket etablering af målrettede efterafgrøder eller efterafgrødeblandinger med kvælstoffikserende arter.

Hvor mange opsparede efterafgrøder, der skal bruges, afhænger af, hvilken dato efterafgrøderne er etableret i perioden 21. august til 7. september. Anvender du præcisionsteknologi kan du på samme vis som ved for sen såning bruge en dag:dag-ombytning frem for intervallerne, som ses i tabel 2.

Tabel 2 Opsparede efterafgrøder som erstatning ved for sen etablering.

Hvilke arter må du så?

Efterafgrøder sået i høsten frem til 20. august skal bestå af en eller flere af de nedenfor nævnte arter. Der er ikke længere krav om etablering af flere arter, men der er fagligt funderede grunde til at så blandinger bestående af flere godkendte arter. Ved at så en blanding af flere arter opnås større sikkerhed for god etablering og dermed overfladedækning. Endvidere når planternes rødder forskellig dybde i løbet af efteråret, så der sker en jordløsning og opsamling af kvælstof i hele rodzonen. Endelig bliver der også mere varierede dækningsmuligheder og fødeudbud til markens dyreliv. Flg. arter er godkendt til etablering frem til 20. august:

  • Korsblomstrede arter som olieræddike og gul sennep
  • Honningurt
  • rug, stauderug og hybridrug
  • Vårbyg og havre
  • Klinte, hjulkrone og morgenfrue

Kvælstoffikserende efterafgrødeblandinger

Det er endvidere tilladt at etablere kvælstoffikserende arter, hvis én eller flere af følgende arter indgår som ikke-fikserende blandingspart: Korsblomstrede afgrøder, korn, honningurt, klinte, hjulkrone eller morgenfrue. Du skal være opmærksom på, at den beregnede kvælstofeftervirkning af de kvælstoffikserende efterafgrøde (blandinger) er den dobbelte af de "almindelige" efterafgrøder, hvorfor det kun giver faglig mening at benytte muligheden ved tidlig såning, og hvis omstændighederne for god etablering er til stede.

Under almindelige omstændigheder

På kvægbrug, der følger de almindelige harmoniregler – altså IKKE kvæg-undtagelsesbrugene, kan du også vælge at efterså en svag græsefterafgrøde med en blanding af f.eks. vårbyg og olieræddike, eller en færdig efterafgrødeblanding fra et frøfirma. Se forslag til brugbare blandinger og udsædsmængder i tabel 3. På grovfoderejendomme er der ikke så mange begrænsninger at tage hensyn til vedrørende efterafgrødens evt. sygdomssanerende effekt henholdsvis sygdoms-vedligeholdende effekt (f.eks. kålbrok). Har du foderroer eller vinterraps i sædskiftet, bør du dog tage hensyn til det – rådfør dig i så fald med din planterådgiver.

På sandjord er det en fordel med efterafgrøder, der kan tåle almindeligt dansk vintervejr (som det var engang), og som altså ikke udvintrer efter den første nattefrost i oktober. Af arterne i tabel 3 er vinterrug og olieræddike de mest vinterfaste. På lerjord kan det være en fordel med arter som udvintrer lettere.

Tabel 3 Forslag til efterafgrødebladninger ("Art 1 + Art 2") udsået efter høst.

Spildfrø af tilladte efterafgrødearter

For indeværende planperiode 2024/2025 kan planter af spildfrø bestående af tilladte efterafgrødearter indgå i vurderingen af dækningsgraden ved en kontrol af efterafgrøder. Du skal være opmærksom på, at det stadig er et krav, at efterafgrøderne etableres efter normale driftsmæssige principper, således at der sker en effektiv optagelse af kvælstof i efteråret. Efterafgrødekravet bliver altså ikke opfyldt, hvis der kun er efterafgrøder fra planter af spildfrø på marken, og det ved kontrollen kan ses, at der ikke har været forsøgt at etablere efterafgrøder, eller hvis dækningsgraden ikke er opfyldt. Dette gælder for såvel pligtige-, som husdyr- og målrettede efterafgrøder.

Eftersåning af dårligt etableret græsefterafgrøde

I år vil der næppe være rajgræsefterafgrøder i vårsæden, som er kvalt af hovedafgrøden. Skulle det alligevel være tilfældet, kan du straks efter, at halmen er fjernet, efterså med supplerende græsfrø – f.eks. 8-10 kg/ha italiensk rajgræs, eller evt. 6-8 kg/ha hybridrajgræs eller tidlig almindelig rajgræs af fodertypen. På kvæg-undtagelsesbrugene er det den eneste mulighed, du har, da øvrige efterafgrødeblandinger i tabel 3 ikke lever op til dette specielle krav.

Etablering

Efter høst

Mange års erfaringer viser tydeligt, at der skal laves et såbed til efterafgrøderne for at opnå en tilstrækkelig god og ensartet fremspiring. Såning efter høst giver den sikreste etablering.

Jordbehandling forud for såning skal ske så øverligt som muligt – gerne kun i 2-2,5 cm dybde. Hvilket redskab du anvender til jordbehandling er ikke afgørende, men en tallerkenharve eller en tandharve med smalle tænder og lille tandafstand er velegnet til formålet. Sår du med elspreder, kan du under fugtige forhold og med udsigt til ustadigt vejr få et godt resultat, uanset om du sår i forbindelse med jordbehandlingen eller efter jordbehandling. Du kan selvfølgelig også anvende en almindelig radsåmaskine efter opharvning. Kun en skiveskærsåmaskine formår at etablere efterafgrøden tilfredsstillende uden jordbehandling.

Før høst

I år vil der stadig være mange marker med vårsæd, som ikke er høstet til etableringsfristen den 20. august. Derfor vil det mange steder være aktuelt at så efterafgrøden inden høst af kornet. Den aktuelle jordfugt giver gode betingelser for, at frøene kan spire, og bliver det ustadigt vejr, øges chancerne for en vellykket etablering ved såning inden høst ved blot at sprede frøene med en elspreder, en gødningsspreder eller evt. med én af de få fuldbreddespredere, der findes. Det vil dog i næsten alle tilfælde alligevel være en mere usikker etableringsmetode end ved såning med såbedstilberedning efter høst. Men kan du allerede se nu, at du ikke får afgrøde og halm bjæget så tidligt, at du kan nå at så efterafgrøden efter jordbehandling, bør du i stedet vælge at sprede efterafgrøde-frøene så tidligt som muligt.

Erfaringerne fra tidligere år, hvor såning før høst måske var mere udbredt, var flere:

  • Olieræddike og gul sennep spirer forholdsvist sikkert fra overfladen under fugtige forhold, dog ikke hvor jorden ikke er allermest grovsandet.
  • Olieræddike og gul sennep tåler meget dårligt trafik efter begyndende spiring, fordi spirerne knækker. Spor efter høstmaskiner og halmbjærgning kommer til at stå uden tilstrækkeligt tæt plantedække.

Vil du så efterafgrøde inden høst, anbefales det derfor at anvende vinterrug, vårbyg eller havre (se tabel 3), der er noget mere robuste overfor kørsel. Du kan selvfølge sagtens supplere med f.eks. olieræddike eller en færdig efterafgrødeblanding for at få lidt mere variation i plantedækket.

Krav til overfladedækning

Som det ses i tabel 4, er kravet til dækning betydeligt lavere ved såning efter den 20. august. Eksempelvis er kravet til overfladedækning ved kontrol i perioden 26. september-1. oktober kun 5 % for efterafgrøder sået i perioden 25.-28. august mod 30 % ved rettidigt såede efterafgrøder. Derfor skal risikoen afvejes, hvorvidt det er bedre at så før høst og tage chancen, om arealet kan godkendes, kontra at tage et kvælstoftræk og det mindre krav til dækningsgraden.

Tabel 4 Kravet til dækningsgrad afhænger af (indberettet) såtidspunkt og kontroltidspunkt.

* Der skal dog være synlige tegn på etablering af efterafgrøden f.eks. i form af udsæd eller
   etablering.

Til toppen

Slåning af brakmarker

Af planterådgiver Thomas Harbo

Slå dine brakmarker allerede nu for at undgå spredning af engbrandbæger.

Brakmarker, som er anmeldt som slåningsbrak, skal slås af i perioden 1. august til 25. oktober. Mange har allerede benyttet det forholdsvist gode føre til at få slået brakken, og vi kan da også kun opfordre til, at du får det gjort nu og ikke venter til hen i oktober måned, hvor det kan blive umuligt at køre på nogle arealer. En anden væsentlig grund til at slå brakken nu er, at du endnu kan nå at slå engbrandbæger og andre giftige brandbæger-arter af, inden deres frø er spiredygtige.

Billede 4 Brakmark inficeret med engbrandbæger (Foto: Thomas Harbo, SAGRO)

I løbet af de to år, hvor vi har haft krav om pligtig brak, har engbrandbæger og andre brandbæger-arter invaderet brakmarkerne og har etableret overraskende tætte bestande. Endnu blomstrer de fleste engbrandbæger, hvorfor frøene ikke er spiringsdygtige, men ret kort tid efter afblomstring, vil frøene kunne spire. Vil du undgå at udsætte dine egne og naboers arealer for yderligere forurening med de uønskede og giftige planter, bør du derfor slå dine brakarealer nu, så spiredygtige frø ikke spredes med vinden til nye arealer.

Til toppen

Indkøb af handelsgødning i forlænget planperiode

Af planterådgiver Vivi Ernstsen

Har du græs og græsudlæg kan handelsgødning indkøbt frem til 30. september indberettes i gødningsregnskabet 2023/2024.

Har du plads til kvælstof og fosfor i gødningsforbruget 2024, løber den forlængede planperiode frem til 30. september 2024, hvor der er mulighed for at indkøbe og indregne gødning til græs og græsudlæg, som høstes eller afgræsses inden den 31. december 2024. Gødningsforbruget i den forlængede periode kan indberettes i gødningsregnskabet 2024.

Selvom vi i foråret beregnede din kvælstof- og fosforkvote, vil der ofte være ændringer, som påvirker den mængde N og P, du må anvende i handelsgødning. Flg. er eksempler herpå:

  • Ændrede afgrøder og justerede arealer.
  • Ændret besætning og anvendelse af husdyrgødning.
  • Ændret indhold i afgasset gylle.

Kontakt din planterådgiver, hvis du ønsker en opdateret beregning af muligt forbrug af handelsgødning i den forlængede periode.

Til toppen
Download pdf