Header billede

TILVÆKST Grovfoder nr. 20, 4. juli 2024

Udgivet d. 04-07-2024

Mark


Aktuelt i majs

Af planterådgiver Peter Siebert

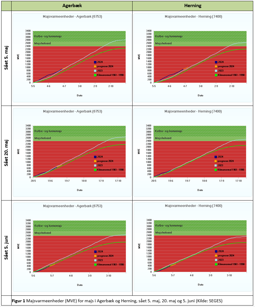
En status på de akkumulerede majsvarmeenheder hidtil i sæsonen viser, at majs sået frem til 20. maj er på niveau med 2023, mens senere såede afgrøder er lidt bagefter.

Ovenpå et udfordrende, hektisk og overvejende vådt forår ser det nu endelig ud til, at majsen har kvitteret for sidste uges varme, og at der nu sker noget med væksten. Nogle steder ser det dog ud til, at afgrøderne stadig er påvirket af den vanskelige start på vækstsæsonen og endnu ikke har reageret på varmen, som vi kunne ønske. Afgrøderne kan også være påvirket af de ret hårde ukrudtssprøjtninger, som mange steder har været nødvendig.

Det er nu tid til at lave en kort status på den forgangne del af vækstsæsonen for den første bedømmelse af de realistiske forventninger til årets afgrøder. På nuværende tidspunkt kan forventningerne bedst opgøres som summen af akkumulerede majsvarmeenheder (MVE), som har stor betydning for, hvornår majsen bliver færdig til høst. I nedenstående tabel har jeg opstillet tre scenarier for majsens udvikling ved forskellige såtidspunkter for lokaliteterne Agerbæk og Herning med sådatoerne den 5. maj, 20. maj og 5. juni.

 

I de sidste mange år har vi typisk ligget et godt stykke over den gamle klimanormal for 1961-1990, og det er måske derfor ikke den, vi skal sammenligne med. Derimod kan der sammenlignes med 2023, som dog ikke havde den samme ualmindelige varme periode i maj, som efterfølgende blev afløst af en kold periode i juni. Derfor ser kurven for akkumulerede MVE i 2023 lidt anderledes ud end for 2024.

Sammenlignet med 2023 er majs enten foran eller bagefter med nedenstående MVE-sum afhængig af såtidspunktet:

  • Majs sået den 5. maj er ca. på niveau med 2023 i Agerbæk og 50-100 MVE foran i Herning.
  • Majs sået den 20. maj er på niveau med 2023.
  • Majs sået den 5. juni er ca. bagefter med 100-150 MVE.

Samlet set er der i majs akkumuleret nedenstående MVE-summer:

  • Majs sået den 5. maj ca. 900 MVE
  • Majs sået den 20. maj ca. 700 MVE
  • Majs sået den 5. juni ca. 400 MVE

Sent såede majs er derfor i korte vendinger ca. én måned bagefter de tidlige såede afgrøder. Derudover har de tidlig såede majs klaret den kolde periode i juni bedre end de sent såede og små majs, som nærmest ingen vækst havde i den kølige periode på ca. 10 dage fra omkring grundlovsdag til weekenden den 15.-16. juni. I forhold til 2023 er majs sået indtil den 20. maj på niveau med 2023 i forhold til antallet af MVE, hvilket skyldes den ualmindelig varme periode fra medio maj til primo juni, hvor det også er tydeligt, at kurven for MVE ligger over 2023.

Til toppen

Aktuelt i foderroer

Af planterådgiver Thomas Harbo

Vær opmærksom på fersken- og bedebladlus i roerne.

Fersken- og bedebladlus

I juli måned er ukrudtsbekæmpelse, gødskning og sprøjtning med bor overstået, og der bør ikke være nogle udestående opgaver i roerne udover at holde øje med fersken- og bedebladlus, vanding efter behov og aflugning af stokløbere sidst på måneden. Med roernes store bladmasse er vandforbruget tilsvarende stort, og produktionen vil begrænses væsentligt ved længere tids vandmangel. Det gælder derfor om at holde afgrøden godt vandet op.

Der meldes om temmelig mange fund af ferskenbladlus i sukkerroer på Sjælland, Lolland og Falster i uge 25-26. Der er gerne en forsinkelse på to til tre uger, fra fund af skadedyr er gjort på de østlige øer, indtil skadedyrene findes hos os, så om ikke i denne så senest i næste uge bør du derfor også undersøge dine roer for ferskenbladlus. Vi har endnu ikke set virusgulsot her i Vest- og Sydjylland, men i andre egne og lande er virusgulsot igen begyndt at optræde som en tabsvoldende sygdom.

Billede 1 Ferskenbladlus på roeblad (Foto: NBR, Nordic Beet Resarch)

Ferskenbladlus, som er grønne, sidder på bagsiden af de ældre og store blade. De er ikke kolonidannende, så de findes oftest enkeltvis eller i mindre grupper. Bladlusene bevæger sig ikke eller kun meget langsomt, når de sidder på bladene. Risikoen ved forekomst af ferskenbladlus er smitteoverførsel af virusgulsot, som sænker udbyttet. Varmt og solrige vejr fremmer udvikling af ferskenbladlus og andre skadedyr, så risikoen for en voldsom opformering i øjeblikket er nok begrænset. Nedbør forventes i mindre grad at reducere antallet.

Bekæmpelsestærskel for ferskenbladluser på nuværende tidspunkt:

  • Planter med 12-16 blade: Forekomst af én uvinget lus pr. plante.
  • Planter med færre end 12 blade: Forekomst af én uvinget lus pr. 10 planter.

I markerne i sukkerroeegnene findes i enkelte planter også sorte bedebladlus, men der er dog ikke set marker med behov for bekæmpelse af bedebladlus. Tærsklen for bekæmpelse af bedebladlus er, hvor mere end 50 % af planterne har begyndende kolonidannelse, hvor en koloni består af minimum 10 bedebladlus.

Tidlige angreb af fersken- og bedebladlus er mest tabsvoldende, og begge arter af lus bekæmpes normalt frem til midten af juli måned – i sent såede afgrøder dog indtil ultimo juli.

Bekæmpelse

Mod lus i roerne kan anvendes Teppeki med 140 g pr. ha eller Pirimor 500 WG, 280 g pr. ha. Begge midler har en god og sammenlignelig effekt mod bladlus. Priser for nævnte doseringer er for Teppeki 183 kr. pr. ha og for Pirimor 277 kr. ha. Det kan ikke anbefales at anvende Lamdex, da ferskenbladlus overvejende er resistente mod pyrethroider.

Tabel 1 Bekæmpelse af bede- og ferskenbladlus i foderroer

Teppeki

Teppeki er godkendt med 140 g pr. ha og maks. en behandling. Teppeki forventes at kunne blandes med flydende mikronæringsstoffer.

Virkningstiden er op til fire uger. Teppeki er skånsom overfor bier, humlebier, rovmider og andre nyttedyr.

Pirimor 500 WG

Pirimor 500 WG benyttes med 0,28 kg pr. ha og kun en gang pr. sæson. Bedst effekt med dampvirkning opnås, når behandlingen udføres i vindstille vejr med lune og opadgående temperaturer. Pirimor 500 WG er skånsomt over for bier og rovinsekter som mariehøns, løbebiller, rovbiller, guldøjer, snyltehvepse og edderkopper.

Sprøjteteknik

Det er vigtigt at få en god dækning og særlig nedtrængning i afgrøden for at ramme bladlusene. Derfor anbefales langsom kørsel og mindst 300 L væske pr. ha. Da midlerne er systemiske, er det ikke nødvendigt med meget fine dråber, men undgå alligevel de meget grove dråber fra luftinklusionsdyser så dråberne ikke preller af.

Til toppen

Høst af grønafgrøder og helsæd

Af planterådgiver Thomas Harbo

Foruden de arealer, der er planlagt med grøn- og helsædsafgrøder, kan der i år også blive aktuelt at ensilere ukurante afgrøder på vandlidende arealer.

Grønafgrøder

Grønkorn høstes ved begyndende skridning, hvilket for længst er overstået på høje sunde arealer, som er tilsået tidligt. Imidlertid sås det meste grønkorn på lavere arealer, hvor det optimale høsttidspunkt endnu ikke er nået pga. den sene etablering. Grønært eller grønbyg/ært høstes normalt omkring begyndende blomstring, hvilket ofte indtræffer i den sidste uge i juni, men en stor del af disse afgrøder er også etableret sent. I det hele taget strækker høsten af grønafgrøder sig over en ret lang periode.

Udlæg af kløvergræs i grønafgrøder som dæksæd er som oftest en sikker udlægsmetode. Fordelen ved at høste dæksæden som grønafgrøde er normalt også, at der bliver 1-2 slæt græs mere i kløvergræsudlægget end ved helsædshøst. I år, hvor mange bygmarker står gule og utrivelige efter de seneste fem ugers megen nedbør, er det også relevant at få høstet disse afgrøder som en grønafgrøde, da det ikke giver megen mening at lade dem stå til helsæd- eller modenhed, da kerneudviklingen vil være alt for ringe. Er der kløvergræs- eller græsudlæg på marken, giver det desuden mulighed for at udbringe gylle på arealerne, når de tørrer tilstrækkeligt op. Er afgrøden etableret i renbestand uden udlæg, kan du i stedet etablere en ny græsmark – og nå at høste et eller evt. to slæt på den, inden det bliver for sent i efteråret.

Helsæd

Vårbyg

Med en gennemsnitlig tilvækst i perioden fra skridning til helsædsmodenhed på 100-130 FEN pr. ha pr. dag er udbyttet i vårbyg – og korn generelt – størst omkring helsædsmodenhed, vækststadium 83-85, og fordøjeligheden øges løbende og topper på dette tidspunkt. For tidlig høst giver såvel for lavt udbytte, som for ringe kvalitet.

Vårbyg skal ensileres, når kernen er dejagtig, og den med lidt besvær kan klemmes sammen som valset korn. På dette tidspunkt, fire til fem uger efter begyndende skridning, er den øverste tredjedel af strået stadig grønligt, mens de nederste to tredjedele er gullige. Under tørrende forhold i juli måned kan tørstofudviklingen gå rigtig stærkt, så pas på med ikke at høste for sent.

Kornhelsæd høstes direkte på roden med en finsnitter påmonteret et helsædsbord. Ved skårlægning kan kernerne blive for tørre/hårde i løbet af en til to timer.

Byg/ærtehelsæd

Byg/ærtehelsæd med moderate mængder ærter ensileres, når byggens kerner er dejagtige, og de med besvær kan trykkes sammen. Det vil sige fire til fem uger efter byggens begyndende skridning. På dette tidspunkt vil ærterne være grønlige og hovedparten af bælgene udviklet. Indholdet af tørstof vil normalt være omkring 30 pct.

Byg/ærtehelsæd med stor ærteandel (over 50 pct.) høstes, før afgrøden går i leje og ødelægger udlægget.

Byg/ærtehelsæd høstes direkte på roden med en finsnitter påmonteret et helsædsbord. Byg/ærtehelsæd kan også skårlægges med en skårlægger uden crimper eller med en "rapsskårlægger".

Billede 2 Byg/ærtehelsæd med passende blanding. Der er udsigt til stor produktion en god
kvalitet. (Foto: Thomas Harbo, SAGRO).

Ærtehelsæd

Ærter til helsæd skal ensileres, inden afgrøden går i leje. Vær opmærksom på, at varme let får ærterne til at lægge sig hen ad jorden, også selv om vandforsyningen er i orden.

Udbytte og foderværdi er højest i ærtehelsæd i vækststadium 78-80. På det tidspunkt er de nederste bælge i fuld størrelse, og frøene heri er dejagtige.

Skal ærterne ensileres alene, er det vigtigt, at du er opmærksom på tørstofprocenten ved høst. Er afgrøden for fugtig, kan den skårlægges og fortørres inden ensilering.

Ærtehelsæd skårlægges til fortørring med en skårlægger uden crimper eller en "rapsskårlægger", og tørstofprocenten må gerne være 35-40 pct. Der er en stor plantemasse i ærterne, og de fortørrer normalt ret langsomt, så du skal gerne have tre dage med tørvejr til forvejring og høst.

Kløvergræsudlæg

Tørke

Selvom det ikke lige er til at forestille sig nu, kan der være tørt tørt, når du høster helsæden. I tørke og brændende sol er der risiko for, kløvergræsudlægget udtørrer og ødelægges. Den optimale strategi er at vande 4-5 dage inden høst og igen umiddelbart efter helsædshøst.

Skadedyr

Tilbage i maj, mens ærterne var små, og det var varmt og tørt, var den en vis aktivitet af den stribede bladrandbille. Skadestærskelen for angreb i ærte- eller byg/ærtehelsæd med kløvergræsudlæg er meget lav og har været overskredet i de fleste marker. Selvom du måske fik billerne bekæmpet med pyrethroiod, bør du gå dine marker igennem efter høst af dæksæd, da bladrandbillerne indimellem kan rasere en helt ny udlægsmark, når billernes anden generation kommer frem i juli måned omkring helsædshøst. Har du haft ærter i dæksæden, skal du derfor holde øje med, om der findes gnav af bladrandbiller på de små kløverplanter.

Bladrandbiller kan bekæmpes med 0,15 kg/ha Lamdex, som har off-label-godkendelse/mindre anvendelse til bekæmpelse af bladrandbiller i kløvergræs og lucerne efter høst af dæksæd. Du findes off-label-godkendelsen her. Lamdex må anvendes to gange med 14 dages interval.

Isåning

Selvom det generelle billede er, at de nye græs- og kløvergræsudlæg er blevet rigtig godt etableret i år, bør du gå dine marker igennem nogle dage efter dæksæden er høstet, så du kan vurdere, om der er tilstrækkelig god plantebestand af græs og kløver.

Efter nedbør – eller når marken er vandet grundigt op, isås 20-25 kg/ha græsblanding med en skiveskærsåmaskine. Spiring kan sikres ved tromling med en betontromle eller en anden tung græsmarkstromle. I den varme jord vil spiring normalt ske hurtigt, men tilstrækkelig fugt er afgørende for et tilfredsstillende resultat.

Pligtig- eller målrettet efterafgrøde?

Er markerne planlagt som grønafgrøde eller helsæd, er der sikkert planlagt og etableret kløvergræs- eller græsudlæg i dem. Har de derimod været planlagt til modenhed, kan de være tilmeldt som målrettet- eller pligtig efterafgrøde. Er det tilfældet, må du ikke bare etablere en ny græsmark uden at tilrette efterafgrødearealet i Fællesskema og/eller Gødnings- og efterafgrødeskema, da det kan give en kedelig hilsen i tilfælde af kontrol. Kontakt i disse tilfælde din planterådgiver for at få lavet den nødvendige ændring i indberetningen.

Til toppen

Regler og tilskud


Opfølgning på obligatoriske målrettede efterafgrøder

Af planterådgiver Peter Siebert

Kravet til de obligatoriske målrettede efterafgrøder er offentliggjort. Følg op på dit samlede krav inden majs, der er planlagt uden græsefterafgrøder, bliver for store til at iså græsefterafgrøde til opfyldelse af eventuelt krav til obligatorisk målrettede efterafgrøder.

Som omtalt i TILVÆKST Grovfoder nr. 19 har Landbrugsstyrelsen nu offentliggjort kravet til de obligatorisk målrettede efterafgrøder. Kravet er lige på trapperne til at blive lagt ind i de enkelte landmænds Gødningskvote- og efterafgrødeskema (GKEA-skema), men i skrivende stund er de ikke lagt ind endnu. Forventningen er dog at det obligatoriske krav ligger klar i GKEA-skemaet, når denne udgave af TILVÆKST Grovfoder bliver sendt ud.

Som nævnt i TILVÆKST Grovfoder nr. 19 vil det i mange tilfælde blot være papirnusseri at få flyttet rundt på krydserne i GKEA-skemaet. Men har du ikke planlagt med tilstrækkelige antal hektar med efterafgrøde til alle de forskellige typer af efterafgrøder, eller har du afventet at se, hvad et eventuelt krav til obligatoriske målrettede efterafgrøder måtte blive, så skal du snarest have fulgt op på, hvad dit krav er, så du kan nå at etablere eventuelle græsefterafgrøder, inden majsen bliver for stor.

På kvæg-undtagelsesbrug vil alle marker formentlig være tilmeldt en af de mange efterafgrødetyper, og her er det som udgangspunkt kun et spørgsmål om at få tilrettet GKEA-skemaet med de rigtige krydser og dernæst se, hvor mange hektar obligatoriske målrettede efterafgrøder, der ikke er plads til. De manglende obligatoriske målrettede efterafgrøder vil give et træk i kvælstofkvoten i gødningsåret 2024/2025 på 175 kg N per hektar.

I nedenstående figur kan du se i hvilke områder, der er krav til obligatoriske målrettede efterafgrøder, og i hvor stor en andel de obligatoriske målrettede efterafgrøder udgør af det samlede krav til målrettede efterafgrøder. Det samlede arealkrav til målrettede efterafgrøder udgør summen af de tilmeldte arealer til frivillige målrettede efterafgrøder (673 kr./ha) og de obligatoriske målrettede efterafgrøder. I hovedparten af SAGRO´s område er kravet til målrettede efterafgrøder op til ca. 44 procent af efterafgrødegrundarealet.

Som det ses af nedenstående figur 2, er det kun enkelte områder, som går fri af et obligatorisk krav til målrettede efterafgrøder, mens kravet i langt hovedparten af SAGRO´s område ligger på 30-44,2 procent målrettede efterafgrøder. Hvis du allerede har opfyldt dit krav med op til de ca. 44 procent målrettede efterafgrøder med frivillige målrettede efterafgrøder, får du ikke noget krav til obligatoriske målrettede efterafgrøder.

Har du derimod ikke opfyldt dit krav, vil du skulle udlægge de resterende hektar med målrettede efterafgrøder op til kravet med obligatoriske målrettede efterafgrøder. Derfor kan nogle bedrifter "nøjes" med lidt færre målrettede efterafgrøder end kravet beregnet i ansøgningsperioden, da andre bedrifter i samme områder har overanmeldt deres eget krav til målrettede efterafgrøder under den frivillige ordning, som udløser et tilskud på 673 kr. per tilmeldt hektar under ordningen.

Figur 2 Krav til obligatoriske målrettede efterafgrøder (Kilde Landbrugsstyrelsen)

Til toppen
Download pdf