Header billede

TILVÆKST Grovfoder nr. 24, 14. september 2023

Udgivet d. 14-09-2023

Mark


Aktuelt i majs

Af planterådgiver Thomas Harbo

Vækstsæson og afgrødeudvikling

Endnu en gang har vi haft en vækstsæson for majsen, som har været usædvanlig – ikke som gennemsnit men i sin tydelige periodevise opdeling. Begyndende med en sen såning efter et køligt forår, over en ret lang tørkeperiode i forsommeren, en fugtig sommerperiode og endelig en usædvanlig tør og varm sensommer.

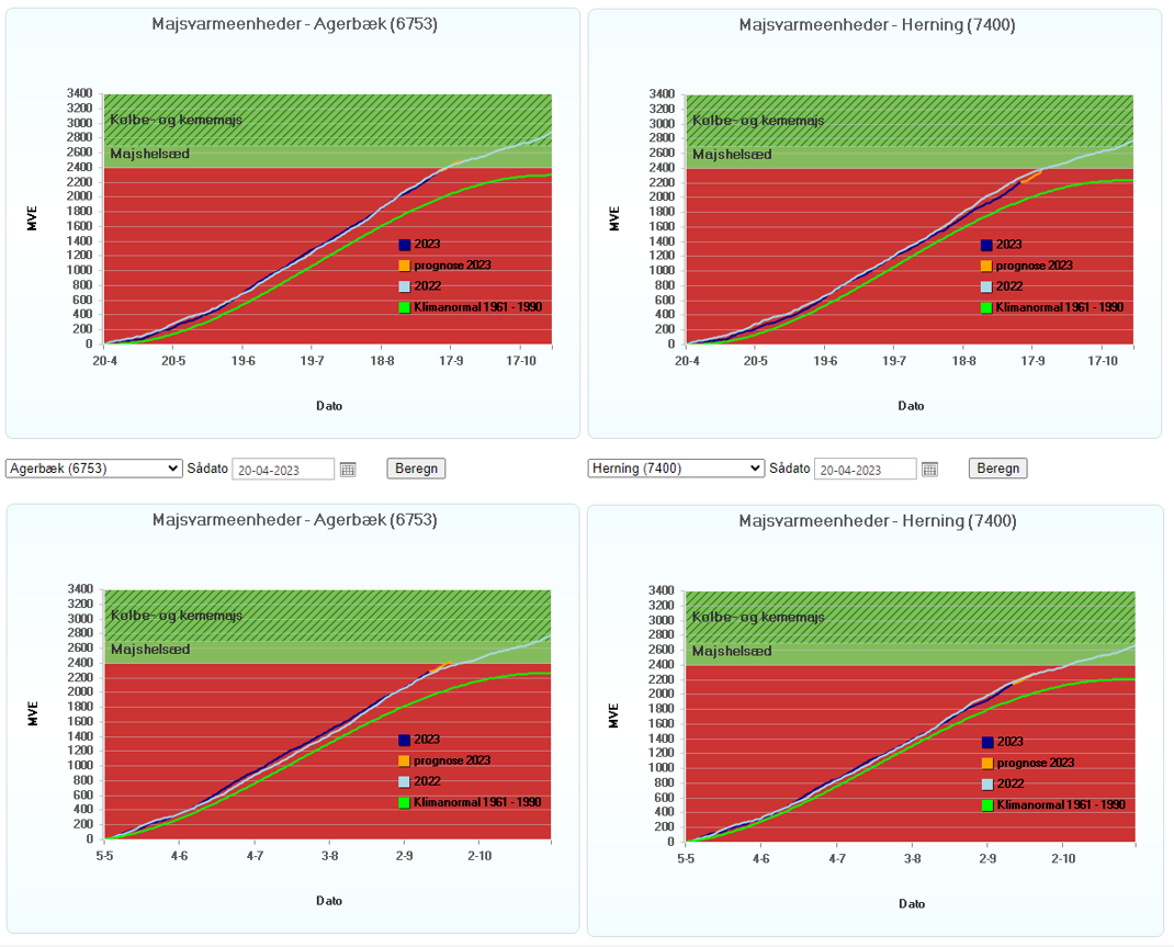
Figur 1 Majsvarmeenheder (MVE) for majs i Agerbæk og Herning, sået 20. april henholdsvis 5. maj (Kilde: SEGES)

I figur 1 ses summen af akkumulerede majsvarmeenheder (MVE) den 12. september for de to lokaliteter, Agerbæk og Herning, som vi plejer at trække frem. Sådatoer er 20. april og 5. maj. Kurverne for årets MVE på de to lokaliteter følges meget pænt ad, men dog på forskellige niveauer med Agerbæk + 200 MVE foran Herning.

Som det ses i tabel 1 nedenfor i artiklen "Majshøsttidsprognose-værktøj i CropManager" er tørstofindholdet i sorterne i sortsforsøget ved Varde ikke prangende. Forsøget er sået lidt sent den 10. maj, men dog ikke senere end mange marker. Med det tørre, solrige og varme vejr i de seneste uger har forventningen været, at majsens udvikling ville tage et spring frem i uge 36 med en stigning på 3-4 procentpoint i tørstof. I stedet ligger stigningen i tørstofindhold på gennemsnitligt 2,5 procentpoint i måleblandingen, hvilket vel skyldes, at planterne endnu ikke er nået så vidt i den fysiologiske udvikling, at den egentlige afmodning af planterne gør sig gældende. Dette støttes også af det generelle billede af majsmarkerne, som stadig er overvejende grønne. Derimod tror jeg på, at de seneste ugers varme og solrige vejr resulterer i en større stivelsesproduktion.

Den aktuelle situation viser endnu en gang, at MVE opnået på baggrund af lune temperaturer i overskyet vejr ikke driver udviklingen i majsen så hurtigt fremad, som den samme tilvækst i MEV opnået i en periode med solskin.

Majsbrand

Der ses i år usædvanlig mange og udbredte angreb af svampesygdommen majsbrand. Smitten er sket som en primærsmitte tidligere på vækstsæsonen tilbage i juni måned, mens det var varmt; de optimale temperaturforhold for smittespredning er 26-34 °C. Sygdommens inkubationstid kendes ikke.

Primærsmitten sker som en smitte fra den jordboende svamp til planterne, som bliver inficerede via skader og sår. Planter, som er stressede, angribes i højere grad end "sunde" planter. Du vil derfor oftest finde flere planter med galler i tørkeramte områder eller i marker, hvor planterne har været angrebet af fritfluer.

Billede 1 og 2 Majsbrand angriber planten systemisk, og gallerne kan vise sig på hele planten (Foto: Thomas Harbo, SAGRO)

Svampen vokser systemisk inde i planten, dvs. at hele planten er inficeret. Majsbrand-gallerne kan ligeledes vise sig på hele planten, og galler såvel på stænglen, i bladhjørner, i kolben som i hanblomsten ses hyppigt. Heldigvis danner svampen ikke nogen særlig stærk toksin, og der er ikke kendskab til problemer med ensilage af majs med en pæn andel angrebne planter – hverken i relation til ensilagens holdbarhed eller til kreaturernes ædelyst, mælkeproduktion eller sundhed.

I litteraturen beskrives det, at svampen har en levetid på op til 10 år i jorden. Har du i år – eller foregående år – oplevet kraftige angreb af majsbrand, kan det være en god idé at holde arealet fri for majsdyrkning i et par år for at få nedbragt smittetrykket.

Til toppen

Majshøsttidsprognose-værktøj i CropManager

Af planterådgiver Peter Siebert

Ved at anvende majshøsttidsprognosen i CropManager får du et kvalificeret bud på, hvornår dine majs er klar til helsædshøst.

I den seneste udgave af TILVÆKST Grovfoder nr. 23 bragte vi afsnittet om det optimale tidspunkt for høst af helsædsmajs og værktøjer til vurdering heraf. Derfor er det nærliggende, at vi i denne udgave følger op og viser et eksempel på brug af værktøjet "Majshøsttidsprognosen" i CropManager.

SEGES udtager tørstofprøver i majssortsforsøgene, og i SAGRO´s geografiske område er de placeret ved Varde og Holstebro. I forsøget ved Holstebro, som er en kølig lokalitet, er de første prøver først blevet udtaget mandag den 11. september, mens de i forsøget ved Varde, som er en lun lokalitet, allerede blev udtaget mandag den 4. september. Nedenfor ser du resultatet af årets hidtidige prøveudtagninger i sortsforsøgene. Prøverne er udtaget i de sorter, der indgår i måleblandingen på den respektive lokalitet.

Tabel 1 Tørstof- og stivelsesindhold i majssorter til helsæd høstet med 30 cm stub (Kilde: SEGES)

 

Som også blev omtalt i den seneste udgave af TILVÆKST Grovfoder er det muligt i CropManager at lave en majshøsttidsprognose. Hvis der ikke indtastes en tørstofprøve ud fra en prøveudtagning, anvendes der en standardmodel for afgrødeudviklingen baseret på vejret siden såning og langtidsprognosen for de kommende fem dages vejr for, hvornår den udvalgte sort, når det optimale tørstofindhold. Prognosen håndterer kun sorter, som har deltaget i Landsforsøgene i mindst to år.

Nedenstående eksempel er fra sortsforsøget ved Varde, som er sået den 10. maj. Majshøstprognosen er vist for sorten Conclusion, som er den sort, der er i den omkringliggende mark. Under funktionen "Indstillinger" er det muligt at indsætte resultatet fra en tørstofprøve og derved finjustere majshøsttidsprognosen. Som det ses på kurven nedenfor, så rammer afgrøden 30 procent tørstof den 4. oktober. Udfordringen ved at finjustere kurven med en udtaget tørstofprøve er, hvorvidt prøven er repræsentativ for hele marken. Derfor er det en god idé såvel at tage flere prøver i marken såvel som at tage flere prøver over tid og se, om udviklingen er som forventet. Derudover bør du også kombinere høsttidsprognosen med metoderne til bedømmelse af høsttidspunktet, som vi bragte i TILVÆKST Grovfoder nr. 23.

Figur 2 Majshøsttidsprognose for sorten Conclusion sået den 10. maj ved Varde (Kilde: CropManager, SEGES).

Til toppen

Høst af majs – Snitning og indlægning

Af planterådgiver Peter Siebert

Med fokus på godt håndværk ved ensilering, dvs. kerneknusning, snitlængde og indlægning i silo, sikrer du kvaliteten i ensilagen.

Når høsttidspunktet er bestemt og maskinstationen er bestilt, er det vigtigt at få de sidste parametre tilpasset. Der er flere forhold, der skal være styr på afhængig af høsttidspunktet og udfordringerne, der følger heraf. Indstilling af snitter, indlægning i silo, og om der skal bruges ensileringsmidler.

Næste efter at ramme det rigtige tørstofniveau i majsen, er det vigtigste kvalitetsmål for snitning af majs, at majskernerne bliver knust, så de ikke passerer igennem koen, når ensilagen senere skal opfodres. Endelig skal det sikres, at det finsnittede materiale indlægges og pakkes ordentlig i stakken, uden der kommer saftafløb.

Kerneknusning

Husk jævnligt, ikke mindst særligt i starten, at kontrollere at majskernerne er tilstrækkeligt knust.

Dette gøres nemt med en balje vand og et par håndfulde repræsentativt udtagende prøver af den nyhøstede majs. Blade og stængler vil flyde ovenpå og kerner og knuste kernedele vil synke lidt mere til bunds. Dermed er det nemt at frasortere blad-og stængeldelen og vurdere kerneknusningen ordentlig, hvilket er meget svært at gøre tilfredsstillende uden at anvende førnævnte metode. Er der mange kerner, som ikke er knuste eller kun delvist afslåede, skal der ændres på indstillingen af finsnitteren så kerneknusningen forbedres.

Snitlængde

Du bør som udgangspunkt gå efter en snitlængde på 8-10 mm i majs, der høstes med mindst 30 procent tørstof. Høster du majsen til den lidt grønne og tidlige side og med risiko for saftafløb ved mindre end 30 procent tørstof, kan du øge snitlængden til 15-20 mm for at mindske andelen af vand der bliver "slået" ud af planten. Den øgede snitlængden kan påvirke kerneknusningen negativt, og du bør derfor være særlig opmærksom på kerneknusningen, hvis du fraviger den korte snitlængde, som bør være udgangspunktet.

Nogle finsnittere har monteret en Schredlage-cracker eller tilsvarende, som er to valser, der er riflede og ru i overfladen, og som løber med ca. 50 procent i forskel i hastigheden. Formålet med Schredlage er at rive majsen mere fra hinanden i stedet for kun at snitte majsen. Teorien er, at snitlængden kan øges, uden at gå på kompromis med foderoptagelsen af majsen og kerneknusningen. SEGES har i forsøg og i praksistest, testet effekten af Schredlage, og ikke fundet forskelle i foderoptagelsen i forhold til anvendelse af almindelig majsensilage. Der blev dog en bedre kerneknusning ved brug af Schredlage-cracker og tilsvarende cracker, når majsen blev høstet ved en længere snitlængde.

Indlægning i stak og ensileringsmidler

Majsen indlægges i plansilo i tynde jævne lag i hele plansiloens længde og bredde. Med jævne tynde lag menes der en lagtykkelse på fem til ti centimeter, inden det køres sammen. Hvis lagtykkelsen bliver for stor, reduceres pakningsgraden væsentligt, og der kan gå varme i stakken ved udtagning. Husk særligt ved afslutning at køre stakken ordentligt sammen.

Som udgangspunkt er der ikke behov for at bruge ensileringsmidler, da majshelsæd er en let ensilerbar afgrøde. I nogle tilfælde kan der dog alligevel sikres/reddes noget ved brug af ensileringsmidler.

  • Majsen høstes til den tørre side med mere end 35 % tørstof
  • Ved anvendelse af små mængder majsensilage og dermed lille fremdrift i stakken, mindre end 20-30 cm om dagen
  • Generelt erfaringer og udfordringer med at holde stabiliteten i majsensilagen.

I sidstnævnte tilfælde bør der være særligt fokus på management og ensileringsteknik. Udover anvendelse af ensileringsmidler kan der også laves en overfladebehandling med f.eks. natriumbenzoat eller salt (NaCl).

Vil du vide mere om hvilke ensileringsmidler, der kan bruges i majs, kan du kontakte din SAGRO kvægrådgiver på telefon 7021 2040.

Til toppen

Aktuelt i græs

Af planterådgiver Thomas Harbo

Udbringning af gylle

Vi er efterhånden så langt henne i vækstsæsonen 2023, at du skal til at tænke på at give de græsmarker, som skal ligge til produktion i 2024, den rigtige afslutning. Den bedste afslutning på 2023 for en god og sikker overvintring og hvileperiode i vinterperioden er IKKE at give marken en stor mængde gylle her i september.

De forholdsvis tørre forhold i markerne tilsiger ikke, at der skal udbringes gylle nu, men mange prioriterer alligevel at få taget toppen af lageret. Har du taget slæt inden for den seneste uges tid – og planlægger at høste endnu et slæt i oktober – kan det måske nok forsvares fagligt at udbringe en MINDRE mængde gylle til græsset. Høster du først græs senere i september, skal tildeling af gylle udelukkende ses som en mulighed for at nedbringe gyllelageret inden vinterperioden. Som udgangspunkt vil udnyttelsen af næringsstofferne i gylle være højere i februar end ultimo september, men selvfølgelig er der en risiko for, at forholdene ikke er til gyllekørsel i februar.

Kvæg-undtagelsesbrug

Husk, at der for kvæg-undtagelsesbrug gælder regel om, at græsmarker, der skal lægges om i foråret 2024, IKKE må tildeles gylle fra 1. september 2023.

Til toppen
Download pdf