Header billede

TILVÆKST Grovfoder nr. 22, 30. august 2023

Udgivet d. 30-08-2023

Mark


Aktuelt i majs

Af planterådgiver Peter Siebert

Nogle marker har en høj andel af planter med sideskud og flere kolber. Foretag en vurdering af dine marker og udvælg de rigtige marker, hvis du planlægger kolbe- eller kernemajs. Få et indblik i markernes udbyttepotentiale og variation med udbytteprognose værktøjet i CropManager.

Om en lille måneds tid vil høsten af helsædsmajs være i gang, men allerede nu er det muligt at få et indtryk af markernes udbytte og variation indenfor marken. Vi hører om – og ser – en del tilfælde af marker med mange planter med sideskud, og planter som har 2-3 kolber pr. plante. Begge dele er uønskede, hvis majsen skal høstes som kolbe- eller kernemajs. Problemet med sideskud og flere kolber pr. plante er, at der er forøget risiko for, at kolberne ikke når at blive færdige, hvilket gør dem særlig uegnede til at blive høstet som kolbe- og kernemajs. Årsagerne er dels sortsforskelle, men det vil føre for vidt at bringe dem her, dels den høje lysintensitet i kombination med tørken i foråret og forsommeren.

Hvis du har planlagt at høste noget af majsen som kolbe- eller kernemajs, skal du udvælge de rigtige marker, som ikke har for mange sideskud, og hvor hovedparten af planterne har én god veludviklet kolbe. Ofte hænger sidstnævnte anbefaling sammen med firmaernes anbefaling for hvilke sorter, som er egnet til kolbemajs. Du skal derfor være særlig opmærksom, hvis du har etableret sorter, som ligger udenfor firmaernes anbefaling til kolbemajs.

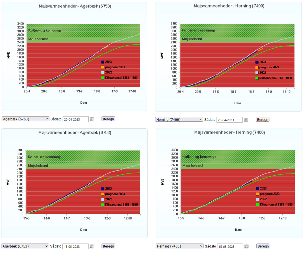
Status på majsvarmeenheder

Det er tid til årets sidste status på antallet af majsvarmeenheder (MVE), som kan give et indblik i hvor gunstige vejrforholdene har været for majsens udvikling. Som det ses i nedenstående figur for antallet af MVE, er vi for lokationen Agerbæk på niveau med 2022. For Herning er vi et lille stykke bagefter 2022, men dog stadig meget tæt på sidste år. Det, der flytter mest på kurven, er selvfølgelig såtidspunktet. Vi er et stykke foran den gamle klimanormal 1961-1990, hvilket er normalt, da den nye klimanormal er noget varmere end den gamle. Den nye klimanormal for 1991-2020 er desværre ikke indarbejdet i værktøjet endnu. Som de fleste måske husker fra tidligere år, så plejer vi i normale majsår, at ligge foran den gamle klimanormal.

I nedenstående figur 1 ses den aktuelle status for MVE og en femdøgnsprognose for to forskellige såtidspunkter hhv. den 20. april og den 15. maj.

Figur 1 Majsvarmeenheder (MVE) for majs i Agerbæk og Herning, sået 20. april henholdsvis 5. maj (Kilde: SEGES)

Udbytteprognose kort i CropManager.dk

I CropManager er det muligt at tilgå et biomassekort, som ud fra satellitanalyse giver et bud på det forventede udbytte i tons tørstof pr. hektar. Biomassekortet er et godt værktøj til at få et overblik over eventuelle forskelle i marken, som ellers kan være svære at få øje på i en majsmark. Ligeledes kan det give et indtryk af det forventede udbytte i markerne. Det er selvsagt ikke en 100 % forudsigelse af udbyttet, men udbytteprognosen bliver justeret fra år til år og bliver demed løbende forbedret.

Værktøjet baserer sin prognose på baggrund af satellitfotos og kan derfor ikke sige noget om den forventede kvalitet. For eksempel kan sent såede marker, som ofte visuelt står meget kraftige og flotte, ofte være bagefter på kolbeudviklingen. Derfor kan marker, som ligger udenfor det normale såtidspunkt godt snyde lidt i prognosen. Brug værktøjet til at danne dig et overblik over dine marker og forskellene indenfor og imellem markerne.

For at kunne benytte dig af udbytteprognose-værktøjet kræver det et abonnement til CropManager. Har du ikke abonnement til CropManager kan du rådføre dig med din planterådgiver, som har adgang til prognosen. Nedenfor ses et eksempel på udbytteprognose-kortet. Som det ses, er marken meget ensartet, og det er kun op langs den ene side, at der er noget som forstyrrer billedet. Uden at kende marken nærgående vil det formegentlig skyldes et læhegn, markvej eller lignende. Det er langt fra alle marker, som er så ensartede som denne.

Figur 2 Udbytteprognose-kort for majshelsæd (Kilde: CropManager.dk)

Til toppen

Konservering af halm med ammoniak

Af Kilde: SEGES

Halm må normalt ikke ammoniakbehandles, men i år med en særlig regnfuld høstperiode, kan der gives dispensation.

Ammoniakbehandling af halm – tilladt i udvalgte kommuner

Der er i hovedparten af landets kommuner nu givet dispensation til at ammoniakbehandle halm. Der er enkelte kommuner, hvor undtagelsen jf. nedenstående definition endnu ikke er udløst. I SAGRO’s geografiske område kan det blandt andet nævnes, at Fanø Kommune endnu ikke har fået udløst dispensation fra forbuddet mod ammoniakbehandling af halm.

Undtagelsen fra forbuddet mod ludning af halm med ammoniak er baseret på DMI’s opgørelse af nedbørsdøgn i de enkelte kommuner. Undtagelsen udløses, hvis der i en kommune i en periode på tre uger fra uge 31 til 37 har været mere end 14 nedbørsdøgn, hvor døgnnedbøren har været større end eller lig med 0,1 mm nedbør.

Vær opmærksom på, at selvom der er opnået undtagelse fra forbuddet i din kommune, må ammoniakbehandling af halm ikke foretages i eller nærmere end 300 m fra kategori 1- og 2-natur.

Du finder en opdateret liste over kommuner, hvor der er givet dispensation, på miljøstyrelsens hjemmeside, listen opdateres hver onsdag i perioden uge 31-39. Du kan tilgå listen på dette link Nedbørsdata (mst.dk).

Dosering og tildeling af ammoniak til halm

Ammoniakken fordeler sig dårligere i fugtig halm end i tør halm. Derfor er det vigtigt at bjærge halmen så tør som muligt.

  • Der skal anvendes 3,0 pct. af halmtørstoffet til at konservere fugtig halm.
  • Mængden kan reduceres til 2,0-2,5 pct., hvis halmen er næsten lagerfast, eller hvis der tildeles ammoniak til hver enkelt balle med spyd.
  • Behandles i markstak bør der maksimalt være 2,5-3,0 meter mellem indføringsstederne.

Ammoniakbehandling frarådes i frøgræshalm og hø samt i halm med meget græs på grund af betydelig risiko for dannelse af nervegiften 4-methylimidazol.

Anvendelse af ammoniakbehandlet halm

Halm, der er konserveret med ammoniak, bør først og fremmest anvendes som foder. Anvendelse af ammoniakbehandlet halm til strøelse må være en absolut nødløsning, og vi kan ikke udelukke, at det kan have negativ betydning for dyrenes sundhed, fordi ammoniak kan give irritation af hud og slimhinder. Anvendelse af ammoniakbehandlet halm til strøelse bør også begrænses mest muligt, fordi der vil være et større kvælstoftab til miljøet. Ved fodring udnytter koen en del af det kvælstof, der er i halmen.

Uanset anvendelsen skal halmen udluftes godt inden anvendelse, både af hensyn til mennesker og dyr. Tag derfor ballerne ud af stakken flere dage før anvendelse.

Kvælstof og gødningsregnskab

Kvælstof anvendt til foderformål skal med i gødningsregnskabet, men maskinstationen skal indberette det, som kvælstof anvendt til foderformål. Det beslaglægger derfor ikke noget af ejendommens kvælstofkvote til markerne, og der skal ikke betales kvælstofafgift.

Til toppen

Vanding


Der bliver ikke behov for mere vanding i år

Af planterådgiver Thomas Harbo

Vanding af majs og roer bliver næppe aktuel mere i år efter nedbør i den seneste weekend og i denne uge.

Majs

Selvom det for nogle kan lyde sært, fik vi ikke desto mindre i sidste uge flere henvendelser om, hvorvidt det var aktuelt at påbegynde vanding af majs igen?

De fleste steder var der med nedbøren omkring månedsskiftet juli/august fyldt op til markkapacitet i uge 31. I sidste uge, uge 34, var nedbørsunderskuddet overordnet set vokset til 35-40 mm - men med nogen variation. Selvom majsen efterhånden er godt tre uger efter afsluttet blomstring, og den mest kritiske periode dermed er overstået, er et nedbørsunderskud på 35-40 mm lige på kanten til at give udbyttetab på de letteste jordtyper. Imidlertid er der de fleste steder faldet en del nedbør hen over den seneste weekend, så risikoen for at skulle til at vande majs nok er afblæst. Har du majs på en lokalitet med JB 1, som er gået fri for nedbør, bør du dog tjekke jordens fugtighed med jordspyd eller spade og evt. få vandet.

Foderroer

I foderroer lå nedbørsunderskuddet ligesom i majs på 35-40 mm sidst i uge 34. Roerne skal virkelig producere meget tørstof i de kommende uger, så her er det endnu mere vigtig, at afgrøden ikke begrænses af vandmangel. Imidlertid er det lettere at se på roerne, om de mangler vand. Så længe bladene er saftspændte hele døgnet, mangler de ikke vand. Har du ikke fået nedbør i weekenden eller i denne uge, bør du også her kontrollere jordens fugtighed.

Til toppen

Regler og tilskud


Efterafgrøder etableret senere end fristen 20. august

Af planterådgiver Thomas Harbo

Ved at indberette senere sådato af efterafgrøder får du et mindre dækningskrav.

Pga. vækstsæsonen og det noget blandede høstvejr har høsten af især vårsæd trukket noget ud, og mange marker er først blevet høstet lige op til fristen for rettidig etablering af efterafgrøder den 20. august. En del marker med mange grønskuder er endnu ikke blevet høstet. I TILVÆKST Grovfoder nr. 21 beskrev vi reglerne for træk i N-kvoten 2024 og brug af opsparede efterafgrøder ved indberetning af sådato efter fristen.

Mange vægrer sig imod indberetning, når konsekvensen er et træk i næste års N-kvote, men flere burde se en interesse heri. Dels er der temmelig mange, som alligevel ikke bruger hele årets kvælstofkvote, dels får du også et lempeligere krav til efterafgrødernes dækning. Sammenhæng mellem krav til overfladedækning og såtidspunkt ses i tabel 1.

Tabel 1 Kravet til dækningsgrad afhænger af (indberettet) såtidspunkt og kontroltidspunkt

*    Der skal dog være synlige tegn på etablering af efterafgrøden f.eks. i form af udsæd eller etablering.

Som det ses, er kravet til dækning betydeligt lavere ved såning efter den 20. august. Eksempelvis er kravet til overfladedækning ved kontrol i perioden 26. september-1. oktober kun 5 % for efterafgrøder sået i perioden 25.-28. august mod 30 % ved rettidigt såede efterafgrøder.

Indberetning af sådato, arealer m.v. kan rettes i GKEA-skemaet indtil den 10. september. Kontakt snarest din planterådgiver, hvis du har rettelser.

Til toppen

Udbringning af husdyrgødning i efteråret

Af planterådgiver Thomas Harbo

Reglerne for udbringning af flydende husdyrgødning er uændrede, mens der er ændringer for fast husdyrgødning. Fast husdyrgødning må udbringes før etablering af græs og vintersæd inden 1. september, hvorefter der er lukkeperiode hen over efterår og vinter. Læs nærmere nedenfor.

Reglerne for udbringning af husdyrgødning er blevet samlet i "Gødningsanvendelsesbekendtgørelsen, Nr. 1025, Kap. 2", som er vedtaget den 30. juni 2023. Der er ikke de store ændringer i forhold til de tidligere gældende regler, med der er dog bl.a. nye definitioner af gødningstyperne og nye lukkeperioder for fast gødning.

Definitioner af gødningstyper

  • Flydende gødning er defineret som gødning, der flyder ved egen kraft, og som kan pumpes.
  • Fast gødning er defineret som gødning, der bevarer sin placering i en stak eller bunke, og som ikke kan pumpes.

Det er desuden fastsat, at bundfald fra gyllebeholdere skal udbringes efter reglerne for fast gødning.

Flydende organisk gødning

I perioden fra høst til 1. februar må der som hovedregel ikke udbringes flydende organisk gødning (gylle). Der er følgende undtagelser:

I perioden fra høst til 1. oktober må der udbringes flydende organisk gødning til:

  • Etablerede, overvintrende græsmarker, herunder marker med udlæg af græs eller kløvergræs udsået senest i forbindelse med forårssåningen. Undtagelsen omfatter dog ikke arealer med udlæg af græs eller kløvergræs i majs.
    • For kvæg-undtagelsesbrug gælder dog stadig reglen om, at der ikke må udbringes flydende husdyrgødning fra 1. september på etablerede græsmarker, som skal omlægges i foråret 2024.
  • Arealer, hvor der den følgende vinter skal være vinterraps.
  • Arealer, hvor der senest 20. august etableres grøngødning med gul sennep, olieræddike eller blandinger heraf forud for sukkerroer, hvor der er indgået kontrakt med en sukkerfabrik om afsætning af sukkerroerne.

Udbringningsfristen kan forlænges indtil 15. oktober i regnfulde efterår. En eventuel forlængelse af fristen kan bl.a. ses på Miljøstyrelsens hjemmeside.

I perioden fra høst til 15. oktober må der udbringes flydende organisk gødning til arealer med frøgræs, for hvilke der er indgået kontrakt med frøavlsfirma om levering af frø i den kommende sæson.

Der må altså IKKE udbringes flydende husdyrgødning til vintersæd om efteråret

Krav til udbringningsteknik

Udbringning af flydende husdyrgødning må kun ske ved udlægning med slæbeslanger, slæbesko eller ved nedfældning.

  • Ved nedfældning i fodergræs skal der anvendes en græsmarksnedfælder.
  • Ved nedfældning på arealer uden afgrøder (sort jord) skal nedfældningsrenderne være tildækkede efter nedfældningen.
  • Ved nedfældning i græs skal nedfældningsrenderne helt kunne indeholde den udbragte mængde gylle.

Ved anvendelse af slæbesko og slæbeslanger skal udbringningssystemet være i kontakt med jordoverfladen (slanger og slæbesko skal slæbe på jordoverfladen). Udbringes der flydende husdyrgødning før såning og i fodergræs, skal husdyrgødningen nedfældes, separeres eller forsures. Forsuringen kan ske før eller i forbindelse med udbringningen.

Bemærk, at nedfældning ikke kan erstattes af forsuring og slangeudlægning på arealer, som ligger indenfor 200 meter fra byzone eller sommerhusområder. Dette skyldes, at forsuring ikke har effekt på lugt.

Miljøkrav

I en afstand af 20 meter til naturtyper omfattet af kategori 1-natur og naturtyperne højmoser og lobeliasøer omfattet af kategori 2-natur skal flydende husdyrgødning nedfældes eller forsures.

På skråninger med 6-12 pct. hældning mod vandløb og kystvande skal flydende husdyrgødning i en afstand på 20 m fra vandmiljøet nedfældes parallelt med vandløbet.

Fast husdyrgødning

Udnyttelse

Fast gødning har den største kvælstofudnyttelse ved forårsudbringning inden såning af vårsæd, roer og majs. I nedenstående tabel ses den faglige markeffekt for kvælstof i fast staldgødning og dybstrøelse.

Tabel 2 Markeffekt af fast husdyrgødning

Tabel 2 viser den gennemsnitlige markeffekt for alle jordtyper. På lerjord i nedbørsfattige områder kan der opnås en god effekt af efterårsudbringning, mens udbringning på sandjord i nedbørsrige områder øger risikoen for tab af kvælstof ved udvaskning i vintermånederne. Her vil efterårsudbringningen ofte have en lavere kvælstofeffekt end angivet i tabellen. For andre typer af fast gødning gælder, at jo højere andel af ammonium-kvælstof, des bedre virkning. Fælles for alle typer er, at markeffekten er størst ved forårsudbringning. Vinterraps kan dog med fordel tilføres fast husdyrgødning før såning i efteråret i stedet for i den etablerede afgrøde i foråret.

Regler for udbringning af fast husdyrgødning

Der er nye regler for, hvornår fast husdyrgødning må udbringes. Reglerne afhænger af, om udbringningen sker før eller efter afgrødens etablering.

Udbringning af fast organisk gødning FØR etablering af græs og vinterafgrøder

Der må kun tilføres fast organisk gødning til arealer, hvor der etableres græs, vintersæd, vinterraps eller gul sennep/olieræddike forud for sukkerroer.

  • Gødningen må kun tilføres til afgrøder, der sås før 1. september.
  • Gødningen skal nedbringes indenfor 4 timer.

Udbringning af fast organisk gødning til arealer MED etableret græs og vinterafgrøde

Der må ikke udbringes fast organisk gødning til etablerede afgrøder i perioden fra høst til 1. november. Lukkeperioden starter dog senest 1. september. Efter 1. november afhænger udbringningsperioden af jordtypen.

  • På lerjord (JB 7-9) må der udbringes fast organisk gødning fra 1. november.
  • På ler- og humusjord (JB 5-6 og 10-11) må der udbringes fast organisk gødning fra 1. december.
  • På sandjord (JB 1-4) må der udbringes fast organisk gødning fra 1. februar.

Fiberfraktion fra separeret gylle skal nedbringes senest 4 timer efter udbringningen, hvilket normalt ikke er muligt i etablerede afgrøder. Udbringning af fiberfraktion i etablerede afgrøder er derfor i praksis ikke lovlig.

Fast husdyrgødning må ikke udbringes på arealer med etablerede afgrøder til høst, der ligger indenfor 20 m fra kategori 1-natur samt lobeliesøer og højmoser omfattet af kategori 2-natur, medmindre husdyrgødningen nedbringes inden 4 timer.

Udbringning af fast organisk gødning FØR etablering af forårssåede afgrøder

Reglerne for, hvornår fast organisk gødning må udbringes før etablering af forårssåede, afgrøder afhænger af jordtypen. På lerjord (JB 7-9) må der tilføres fast organisk gødning i vinterperioden, mens tilførslen til sandjord (JB 1-4) først må ske efter 1. februar. Tidspunkterne er ikke afhængige af, om der har været efterafgrøder eller ej på arealerne. Tidspunkterne for, hvornår det er tilladt, kan ses i tabel 3.

Tabel 3 Tilladte udbringningsperioder for fast organisk gødning inden etablering af forårssåede afgrøder.

Have-parkaffald, bioaske og biokul

Ikke-komposteret have-parkaffald, bioaske og biokul må udbringes hele året.

Til toppen

Data til sprøjtejournalen – Indberetning til miljøstyrelsen er åben

Af planterådgiver Peter Siebert

Som alle ved er det et lovkrav, at sprøjtejournalen er ajourført senest syv dage efter seneste sprøjtning. De fleste af 2023 sæsonens sprøjtninger er foretaget, og sprøjtejournalen er derfor klar til indberetning. Der er selvfølgelig enkelte undtagelser som f.eks. kartofler, hvor der er enkelte sprøjtninger tilbage endnu. Men for hovedparten af grovfoderejendommene er der ikke flere sprøjtninger til det gamle år, og sprøjtejournalen kan derfor indberettes. Send derfor gerne din sprøjtejournal til din planterådgiver allerede nu, så den kan blive indberettet og 2023 blive afsluttet. Det er ligeledes et godt tidspunkt at få lavet indberetningen her i september måned, så den ligger klar i tilfælde af kontrol. Derudover er sidste halvdel af september en periode, hvor din planterådgiver har lidt mere luft i kalenderen, end når mark- og gødningsplanlægningen for alvor begynder i oktober måned.

Til toppen

Slåning af brak- og græsmarker

Af planterådgiver Thomas Harbo

Slåning af brakmarker er tilladt fra 1. august. Slåningsbrak, sommerslåning, skal være afpudset senest 25. oktober. Få markerne afpudset/slået nu, da mange erfaringsvis venter for længe og får problemer med at køre på markerne sidst i perioden.

Få afpudset/slået markerne nu

Brakmarker anmeldt som slåningsbrak med sommerslåning skal afpudses mindst en gang årligt i perioden 1. august til 25. oktober. Har du anmeldt slåningsbrak på lidt lavere arealer, hvor færdsel sent i sæsonen erfaringsvist kan være svært, bør du derfor få afpudset markerne ved førstkommende lejlighed. Det samme gælder for græsmarker, som også skal pudses af eller slås mindst en gang om året for at leve op til støttebetingelserne. Opfordringen herfra skal være, at du får markerne afpudset/slået, når det kan lade sig gøre, da der hvert år er nogle, som ikke kan færdes på arealerne op mod fristen og derfor får problemer.

Det afslåede plantemateriale fra brakmarker MÅ IKKE anvendes, men må dog presses eller på anden måde samles sammen og stakkes op på marken. Har du været nødsaget til at anvende en udmærket græsmark til brak i år og gerne vil bruge den som græsmark til produktion igen næste år, bør du især være opmærksom på at fjerne det afslåede plantemateriale fra græsarealet, men som nævnt må det IKEK fjernes fra marken.

Billede 1 Det afslåede plantemateriale er stakket op i hjørnet af brakmarken
(Foto: Peter Siebert, SAGRO)

Græsmarker, hvor du ikke har taget kvælstofkvote eller anvender som harmoniareal, må du på samme vis blot pudse af. Har du derimod taget kvælstofkvote til dine græsmarker SKAL plantematerialet anvendes.

Brakarealer og græsmarker, som ikke er pudset af/slået medio oktober vil blive røde i Landbrugsstyrelsens "overvågningsprogram" kendt som "trafiklys-ordningen", og det kan være nødvendigt at indsende et høringssvar for at undgå træk i støtten.

Til toppen
Download pdf