Header billede

TILVÆKST Grovfoder nr. 24, 24. august 2022

Udgivet d. 24-08-2022

Mark


Aktuelt i majs

Af planterådgiver Thomas Harbo

De seneste ugers sommervejr har skubbet til udviklingen af majsen. Vær dog opmærksom på, at udviklingen ikke følger med i afgrøder, som mangler meget vand.

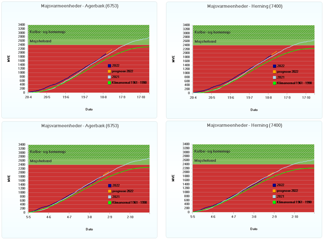
De seneste ugers varme bidrager med mange majsvarmeenheder (MVE), og kurven, som viser de akkumulerede MVE 2022, er da også blevet mere stejl. For majs sået ultimo april ser det ud til, at høsten kan komme tidligt i gang allerede medio september.

Figur 1 Majsvarmeenheder (MVE) for majs i Agerbæk og Herning, sået 20. april henholdsvis 5. maj. (Kilde: SEGES)

Imidlertid mangler afgrøderne vand. Rammes en afgrøde af utilstrækkelig vandforsyning, vil det alt andet lige betyde, at afgrødeudviklingen vil forløbe med nedsat tempo, hvorfor kernefyldning og afmodning vil blive forsinket. Kun under meget langvarige tørre forhold vil vi se en egentlig tvangsmodning af afgrøderne, hvor planterne evt. dør af vandmangel. Det skal vi ikke forvente under danske forhold.

Til toppen

Vanding


Der er behov for vanding af majs

Af planterådgiver Peter Siebert

Mængden af nedbør har været meget begrænset de sidste par uger, og det udløser et vandingsbehov i majsmarkerne. Nogle har dog fået pænt med nedbør i den seneste weekend.

De fleste steder er det tørt, mens enkelte har fået lokale skybrud, som har fugtet jorden. Udgangspunktet er dog, at jorden er tør og næsten udtørret for plantetilgængeligt vand. Vejrudsigten melder om mere tørt og varmt vejr med kun begrænset nedbør enkelte steder.

Figur 2 Tørkeindekset for 23. august viser udbredt tørke over hele landet.
Særligt i det syd- og sønderjyske og i de østlige landsdele set det slemt ud.
(Kilde: DMI)

Hvor stort er udbyttetabet ved at undlade at vande?

Som tidligere nævnt er majs mest følsom for vandmangel i perioden omkring blomstring. Normalt er det tre uger før og tre uger efter blomstring, som er den mest kritiske periode. Vi er nu i perioden efter blomstring, og det store spørgsmål er, om majsen skal vandes? I nogle majsmarker er det ved at være tre uger siden blomstringen blev afsluttet, og her er spørgsmålet, om det stadig er aktuelt at vande. Svaret på spørgsmålet er "Ja, ud fra et fagligt synspunkt er det nødvendigt at vande majsen." Det er nedslående, og ikke det de fleste ønsker at høre.

I nedenstående tabel er resultater fra et Landsforsøg i 2014 gengivet. Vi bragte også tabellen i september 2021, hvor der ligeledes var behov for at vande majs. I CropManager er det muligt at følge vandunderskuddet på markniveau, så her kan du selv følge dine egne marker. Det kræver dog et abonnement for at kunne tilgå CropManager. Som tommelfingerregel kan du selv regne dig løseligt frem til vandunderskuddet i dine marker ved at antage at forbruget i en majsmark gennem de seneste uger har været 4-5 mm pr. dag. Aktuelt er der kun udsigt til at fordampningen falder en smule.

Tabel 1 Vanding af majs, 2014, ét overdækket forsøg (Kilde: Oversigten over Landsforsøgene 2014, s. 410)

1)  Fuld blomstring i vækststadium 65

Ved vandmangel efter blomstring er der et udbyttetab på 5,5 hkg tørstof/ha, når jorden udtørres til et vandunderskud på 39 mm. Hvis vi regner med 1,15 kg tørstof pr. FEN, kan udbyttetabet omregnes til ca. 475 FEN/ha. Dermed er det potentielle udbyttetab ved langvarig tørke efter blomstring et udbyttetab fra 475 op til 2.200 FEN/ha ved 50-55 mm vandunderskud. Husk, at forsøgene er udført på grovsandet JB 1; bedre jordtyper har et større indhold af plantetilgængeligt vand, og der skal dermed et større vandunderskud målt i mm underskud til, før jorden er tilsvarende udtørret.

Bemærk, at udbyttetabet primært vil skyldes en mindre stivelsesindlejring i kernerne og dermed resultere i en dårligere kvalitet. Du vil derfor skulle indkøbe mere supplerende stivelse til en aktuel høj pris.

Vanding ved høje elpriser?

Siden september 2021 har verden ændret sig og priserne på råvarer, afgrøder og energi er på historisk høje niveauer. Særligt i øjeblikket er der meget fokus på elpriserne. Elprisen er en af de store variable omkostninger til vanding, og derfor er spørgsmålet, hvorvidt det stadig kan betale sig at vande selv ved en elpris på 5-6 kr./kWh, som kan være realiteten for dem, som ikke har en fast pris på el.

I TILVÆKST Grovfoder nr. 8 bragte vi en artikel vedrørende omkostninger til vanding på baggrund af beregninger, som Gunnar Schmidt ved Byggeri & Teknik havde lavet. Et kort sammendrag fra artiklen siger, at det koster ca. 10 kr./mm/ha ved en elpris på 0,50 kr./kWh og ved en elpris på 1,50 kr./kWh er prisen ca. 14 kr./mm/ha. Dermed stiger omkostningen til vanding altså med ca. 4 kr./mm/ha, hver gang elprisen stiger med 1 kr./kWh.

For at gøre ovenstående antagelse omkring prisen for vanding overskuelig, har jeg i nedenstående tabel forsigtigt fremskrevet de oprindelige beregninger fra Gunnar Schmidt. Bemærk, at der ikke er tale om præcise beregninger af fremskrivningerne, men nærmere den slags beregninger jeg vil kalde for "køkkenbords-beregninger". De giver dog en udmærket idé om de prisrelationer, der bør tages højde for, når du skal beslutte, om du vil begynde at vande majsen.

Tabel 2 Omtrentlige omkostninger til vanding ved fremskrivning af tidligere beregninger.
Omkostninger til vedligehold, flytning og tilsyn er samlet 6,62 kr./mm/ha, afgrødeværdi 1,30 kr./FEN.

1)  Elforbruget til vanding forudsættes at være 4,28 kWh/mm/ha. Fast nettarif på 0,30 kr./kWh

Den sidste parameter, der bør tages højde for, er de stigende afgrødepriser. I mange år har prisen for afregning af majs ligget tæt på den interne overførselspris på niveauet omkring 1,0 kr./FEN. I de nye tider med høje afregningspriser på korn er den alternative afgrøde til majs blevet mere attraktiv, og derfor bør majs reelt set også have en større værdi. Det er særligt vigtigt, hvis vi antager, at prisrelationerne er nogenlunde de samme om et år. For kort sagt så skal vi jo ikke dyrke det grovfoder næste år, som vi høster i år, og dermed er der mere plads til korn, som giver et bedre dækningsbidrag end grovfoder. For at opsummere, så er værdien af det potentielle udbyttetab på 475 til 2.200 FEN/ha som nævnt i ovenstående måske tættere på 600 til 2.800 kr./ha, hvis der regnes med en pris tæt på 1,30 kr./FEN.

Beslutningen om vanding bliver derfor en afvejning af flere parametre: Hvor stort er vandunderskuddet i forhold til jordtypen, og hvor stort er det potentielle udbyttetab, hvad er elprisen, og hvilken værdi har min afgrøde?

For beslutningsstøtte i forbindelse med evt. vanding af majs, kan du gøre dig følgende overvejelser:

  • Hvilken jordtype?
  • Hvor stort er vandunderskuddet i forhold til jordtypen?
  • Hvad er min pris for vanding?
Til toppen
Download pdf