Header billede

TILVÆKST Grovfoder nr. 20, 18. juli 2022

Udgivet d. 18-07-2022

Mark


Aktuelt i majs

Af planterådgiver Vivi Ernstsen

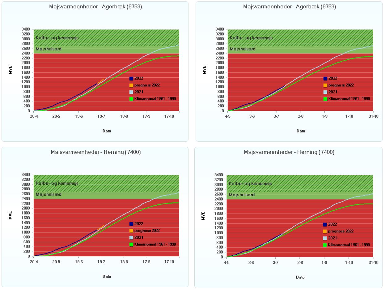
Majsen har den seneste uge haft god vækst, som har været og er stadigvæk tiltrængt for majsen. Selvom dette forår var bedre end sidste års våde og kolde forår har sensået majs (sådato 4. maj) kun opnået samme niveau af majsvarmeheder, som majs sået på samme tidspunkt sidste år. Mens tidligt sået majs (sådato 20. april) har opnået flere majsvarmeenheder end på samme tidspunkt sidste år. Den kommende tid har majsen behov for varme, så den kan opnå god vækst inden sommervejret begynder at stilne af.

Figur 1 Majsvarmeenheder (MVE) for majs i Agerbæk og Herning, sået 20. april henholdsvis 4. maj.

Fra registreringsnettet for fangster af majshalvmøl er der i uge 28 blevet optalt mellem 0-4 majshalvmøl i SAGRO’s område. Det er en lille udvikling fra uge 27, hvor der blev fanget 0 i fem ud af seks fælder i SAGRO’s område.

Registreringsnettet for bladsvampe er opstartet i uge 28. Ud af 20 marker er der fundet majsøjeplet i to marker med meget svage/begyndende angreb. Registreringsnettet forløber med ugentlige registreringer indtil midt/ultimo august. Læs nærmere om svampesygdomme i majs i TILVÆKST Grovfoder nr. 19.

Til toppen

Nedvisning af korn og bekæmpelse af kvik og rodukrudt

Af planterådgiver Thomas Harbo

Der er efterhånden kun få muligheder for effektiv bekæmpelse af kvik og andre arter af rodukrudt; nedvisning med glyphosat før høst er en god mulighed og giver i reglen bedst effekt. I et grovfodersædskifte, kan rettidig nedvisning dermed være en vigtig og effektiv brik i strategien mod kvik og rodukrudt. HUSK! Glyphosat må ikke anvendes i afgrøder til konsum, som f.eks maltbyg, grynhavre, brødkorn og ej heller i fremavlskorn. Vær også opmærksom på efterafgrøderne!

Opnå god effekt og undgå afdrift - vælg dyser med store dråber

Der kan behandles, når kornet er så modent, at kernerne vanskeligt kan deles med en negl. Dette udviklingstrin nås normalt 2 - 3 uger før forventet høsttidspunkt. Vandindholdet i afgrøden vil da være under 30 procent. Forsøgsmæssigt er der kun fundet beskedne udbyttetab ved sprøjtning i afgrøder med vandindhold på 40 procent og derunder. Denne vandprocent nås normalt 3 - 4 uger før høstmodenhed. Sprøjtning bør altid ske så tidligt, at der ikke opstår problemer med at overholde behandlingsfristen på 10 dage. Omvendt bør der heller ikke sprøjtes tidligere end nødvendigt, da restindholdet af glyphosat i afgrøden alt andet lige vil være større, jo mindre afmodnet afgrøden er.

Behandling er mest effektiv, hvis den udføres som morgensprøjtning, hvor luftfugtigheden er høj – men sprøjt ikke på drivvåde planter. Som det ses i tabel 1, er de nyeste produkter, Roundup Flex og Roundup PowerMax regnfaste inden fire timer, mens ældre produkter er regnfaste efter seks timer. Vi anbefaler, at der så vidt muligt ikke bruges mere end 150 l/ha vand, og at behandlingen foretages med en hastighed på 6 - 7 km/t.

Undgå afdrift til naboarealer, beplantninger og læhegn, ligesom sprøjtning af markskel og andre "rabatter" skal undgås, da du ellers risikerer opformering af andet og meget mere besværligt ukrudt end kvik. Det kan f.eks. være arter som burresnerre og gråbynke, der spredes fra markskel, hvor græsdækket er bortsprøjtet. Du kan forvente samme effekt af dyser med grov forstøvning – f.eks. også dyser, som er godkendt til afdriftsreduktion, som af dyser med små dråber, da glyphosat er meget systemisk virkende.

Billede 1 Agertidsler i vårbyg (Foto: SAGRO).

Dosis og additiver

Mod kvik før høst anbefales 800 – 1.000 g aktivstof pr. hektar, svarende til 2,25 – 3,0 /ha af et 360 grams glyphosat-produkt; se oversigt over midler i tabel 1. Agertidsler, svinemælk og andre rodukrudtsarter kan også bekæmpes med glyphosat, når der som i år er god vækst i planterne, men mod de tokimbladede arter kræver generelt en højere dosis af glyphosat end kvik. Anvend derfor den højest tilladte dosis mod agertidsler og andre arter af rodukrudt.

Roundup Flex og Roundup PowerMax har som de eneste glyphosatprodukter en max. dosis før høst på 1.440 gram pr. ha. Desuden er de færdigformulerede, så der ikke skal tilsættes additiver. Under tørre forhold sikres effekten af 360 grams glyphosatprodukter ved at tilsætte 1 - 2 kg/ha teknisk rent ammoniumsulfat eller tilsvarende mængde flydende ammoniumsulfatopløsning (svovlsur ammoniak) + 0,2 liter/ha spredeklæbemiddel. Tilsætning af ammoniumsulfat ophæver desuden den negative effekt af okkerholdigt – eller hårdt vand. I SAGROs område er der ofte en del okker i vandet, hvorimod kalk sjældent er et problem. Der findes også andre additiver som f.eks. NovaBalance, pH-Fix 5 og X-Change, som ophæver effekten af hårdt vand. Additivet doseres i henhold til brugsanvisning. Prisen for disse produkter er sammenlignelig med ammoniumsulfat + spredeklæbemiddel.

Tabel 1 Løsningsforslag til bekæmpelse af ukrudt før høst. Det er vigtigt at medtage relevante additiver (se tekst). Doseringen mod kvik afhænger af tætheden af kvik.

Marker med efterafgrøde

Du kan selvfølgelig ikke anvende glyphosat i en afgrøde med græsefterafgrøde uden også at bortsprøjte denne. Er der behov for at nedvisne sådanne marker, må du undersøge, om der alligevel er tilstrækkeligt efterafgrødeareal til at opfylde kravet om pligtige -, obligatorisk - og målrettede efterafgrøder samt MFO-arealer. Hvis det ikke er tilfældet, kan du evt. etablere efterafgrøde-blandinger, som erstatning frem til 20. august.

Bemærk at på kvæg-undtagelsesbrug kan disse alternativer IKKE opfylde kravet om 80 % græs og græsefterafgrøder.

Kontakt gerne din planterådgiver inden du behandler marker med anmeldt efterafgrøde, da det i nogle tilfælde kan have store konsekvenser i form af sanktion eller mistet kvælstofkvote i 2023.

Ændringer i efterafgrøde- og MFO-arealer skal indberettes i Tast selv-service frem til 10. september.

Til toppen

Almindelig hanespore - undgå at sprede frøene mellem ejendomme og marker

Af planterådgiver Thomas Harbo

Frø af alm. hanespore kan spredes med halm over store afstande. Begræns om muligt antallet af marker, der får dybstrøelse fra indkøbt halm og før logbog over, på hvilke marker det spredes. Afsæt om muligt dybstrøelse og foderrester til biogas, som effektivt ødelægger frøene spireevne.

De fleste kender nok desværre ukrudtsgræsset alm. hanespore, som i de senest år har bredt sig voldsomt på mange arealer. Størst problemer volder det i åbne afgrøder som majs og roer, der yder ukrudtet ringe konkurrence i forår og forsommer, men det kan også findes i mange kornmarker, hvor der i foragre og spor er nedsat afgrødekonkurrence. Alm. hanespore bliver anset for at være en af de værste ukrudtsarter – om ikke den værste – på verdensplan. Der sker stor spredning fra majsmarker, men der sker også en vis spredning fra korn.

Heldigvis er flere blevet opmærksomme på at bekæmpe alm. hanespore i kornmarkerne. Men på trods heraf og selvom vårsæden i år generelt står rigtigt godt, er der også marker med pletter, hvor der findes alm. hanespore, f.eks. hvor kornet ikke er sået rundt om master, brønde og hydranter eller i markhjørner, hvor afgrøden er tynd. Derfor er der risiko for at frø af alm. hanespore kan spredes yderligere med halm, som ofte flyttes over store afstande, hvorved ukrudtet kan springe til egne længere inde i landet og mod nord, hvor det ikke er så udbredt endnu.

Billede 2 Alm. Hanespore findes i mange marker med vårsæd, hvor afgrødekonkurrencen er mindre – f.eks. i markhjørner, i kørespor eller omkring brønde og hydranter (Foto: Thomas Harbo, SAGRO)

Billede 3 Alm. hanespore er lige nu let at genkende på sin mørkebrune top (Foto: Thomas Harbo, SAGRO)

Konsekvenserne af at få alm. hanespore ind på ejendommen er langt værre, end hvis det er flyvehavre. Dels producerer alm. hanespore langt flere frø end flyvehavre, ligesom frøene beholder spireevnen i 15 år eller mere, dels besværliggøres bekæmpelsen meget af, at den spirer så sent frem.

Spredning af frø kan nok ikke undgås, men med opmærksomhed på problemet kan det måske begrænses. Indkøber du halm i den kommende tid, hvor du ikke kender oprindelsen og derfor ikke ved, hvorvidt det kan være forurenet med alm. hanespore, bør du tage dine forholdsregler. Det kan f.eks. være ved at undgå markstakke med halm og dybstrøelse, og så vidt muligt anvende dybstrøelse fra indkøbt halm på enkelte marker, og i øvrigt sørge for at notere, hvor det bliver spredt, så du kan følge med i, hvorvidt der pludselig kommer alm. hanespore i marken. Om muligt bør dybstrøelse og foderrester afsættes til biogas, hvor adskillige ugers opholdstid ved højere temperatur i reaktortankene effektivt ødelægger frøenes spireevne.

Til toppen

Kvæg


Status på grovfoder anno 2022

Af kvægrådgvier Jens Smidt

Græsvæksten har været rigtig god og flere har bjerget tredje slæt og med rigtig gode udbytter, som typisk ligger på 6.500-7.500 FEN for året hidtil. Dermed udsigt til et rigtig godt græs år. Analyser af første og anden slæt viser høj fordøjelighed og med pæn høj proteinindhold. Dog lidt overraskende at proteinindholdet ser ud til at være faldende i forhold til sidste år, og det trods bedre fordøjelighed og deraf et fremrykket slættidspunkt.

Tabel 2 Analyser af første og andet slæt

Majsen udvikler sig eksplosivt i disse dage, og mange har planlagt et areal med kolbe- eller kernemajs og den gode græsvækst giver måske mulighed for at arealet kan udvides.

Til toppen

Konservering eller crimpning af korn

Af kvægrådgiver Jens Smidt

De meget høje priser på energifoder gør det relevant at holde året høst hjemme på ejendommen og dermed gøre sig mere uafhængig af varierende priser og fradrag for tørring, frarensning mv. som typisk løber op i et betydeligt beløb. Egen avl giver en sikkerhed for kvalitet og du ved hvad du kommer til at fodre med. Har du ikke mulighed for egen opfodring er der vigtig at bruge et salg af korn i en forhandlingssituation, typisk kan der opnås en lille merpris, når der købes andet foder.

Ludning m. natriumhydroxid/ætsnatron

Ludning med natriumhydroxid/ætsnatron er en løsning til ikke lagerfast korn, (max 18-20 procent vand), som skal opfodres inden for en til to måneder. Ludning til langtidsopbevaring kan ikke anbefales og er yderst risikobetonet. Natriumhydroxid er steget meget i pris og koster typisk 12-14 kr./kg svarende til en udgift på ca. 40 kr./tdr. for rug og hvede, hertil udgift til eget arbejde. Byg er ikke egnet til ludning med natriumhydroxid. Husk beskyttelsesudstyr, når du arbejdet med ludning.

Propionsyre

En rigtig god og sikker opbevaringsmulighed er behandling med propionsyre, men kræver udstyr til korrekt dosering. Ved anvendelse af propionsyre kan korn høstes med 20-22 procent vand. Propionsyre er ligeledes steget i pris og koster typisk 14-16 kr./liter svarende til en udgift på 10-12 kr./tdr. Behandling med propionsyre er en oplagt mulighed, hvis man har ledig lagerplads, men ingen tørringsmulighed. Enkelte har forsøgt at propionsyrebehandle korn i en fuldfoderblander, men generelt for arbejdstungt og usikkert og kan ikke anbefales.

Crimpning

Crimpning af korn giver mulighed for høst to til tre uger før normal høst og dermed på et tidspunkt, hvor udbyttet topper. Alle kornafgrøder kan crimpes og ensileres, men forudsætningen er et vandindhold på 35-45 procent. Det høje vandindhold er vigtig for at komprimere kornet i silo eller pølse, samt at sikre at ensileringsprocessen startes for at opnå en stabil vare.

Crimpning og indlægning skal ske løbende som afgrøden høstes. Stabiliteten kan forbedres ved tilsætning af propionsyre, eller et syrebaseret blandingsprodukt, dosering mindst 5 liter pr. tons korn. Vælg aldrig en billigere løsning i form af et ensileringsmiddel. Tilsætning af syre giver en høj grad af sikkerhed under udtagning og opfodring.

Ved høst af korn under 35 procent vand skal mængden af syre hæves til mindst 8-9 liter/tons og fremdriften under udtagning bør være 10-12 cm. dagligt

Korn er en højværdiafgrøde, og derfor stor omhyggelighed med korrekt afdækning

Proteinafgrøder som hestebønner og lupiner kan ligeledes crimpes ved vandprocenter på 35-45 procent, men ensileringsprocessen øger proteinets opløselighed og derved mindskes AAT-indholdet, mens PBV- indholdet øges. Høst af hestebønner med mere end 35 procent vand kan give udfordringer med at holde mejetærskeren ren. Her må man ikke spare på syretilsætningen og anbefalingen er 8-12 liter/tons ved det høje vandindhold.

Tabel 3 Oversigt over velegnede metoder til konservering af korn (Kilde: Landbrugsinfo)

Til toppen

Regler og tilskud


Husk underskrift på skema B1 inden 1. august

Af planterådgiver Vivi Ernstsen

Når du afsætter husdyrgødning, skal du kunne dokumentere afsætningen. Dette gøres ved, at du får modtagers kvittering for den modtagne mængde N og P på Skema B1 (Gødningskvittering).

Du bør sørge for at få modtagers kvittering, så snart husdyrgødningen er flyttet, mens begge parter endnu har i frisk erindring, hvor meget der er blevet flyttet eller udbragt. Desværre ser vi af og til, at modtager i sit gødningsregnskab "glemmer" at indregne den modtagne mængde, eller modtager af den ene eller anden grund ophører og derfor ikke længere står i "Register for gødningsregnskab". I denne situation kan det jo være vanskeligt efterfølgende at få en underskrift på skema B1, og så kan du som afgiver stå med en overgødskning, som kan være umuligt at redde.

Har du endnu ikke fået modtagers kvittering for den husdyrgødning, I flyttede i foråret, kan vi derfor kun opfordre til, at du får det gjort NU. Så snart vi kommer på den anden side af sommerferien, begynder vi så småt at lave gødningsregnskaber og markplaner for 2023, og vi har så brug for at overførsler i 2021/2022 er "lukkede og på plads".

Mangler du et opdateret skema B1 for dine afsætninger kontakt din planterrådgiver.

Til toppen
Download pdf